Home
Explore
Exams
Search for anything
Login
Get started
Home
Trigonometric Substitutions
Trigonometric Substitutions
0.0
(0)
Rate it
Studied by 0 people
Call with Kai
Knowt Play
Learn
Practice Test
Spaced Repetition
Match
Flashcards
Card Sorting
1/3
There's no tags or description
Looks like no tags are added yet.
Study Analytics
All Modes
Learn
Practice Test
Matching
Spaced Repetition
Name
Mastery
Learn
Test
Matching
Spaced
No study sessions yet.
4 Terms
View all (4)
Star these 4
1
New cards
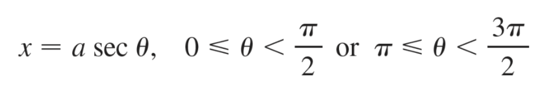
Substitution
Expression
2
New cards
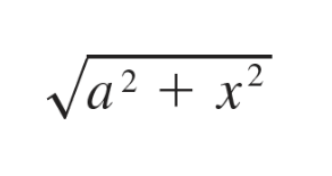
Substitution
Expression
3
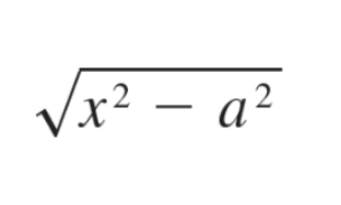
New cards
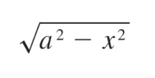
Substitution
Expression
4
New cards
lala
lala
Explore top notes
Chapter 21: Microbial Diseases of the Skin and Eyes
Updated 1142d ago
Note
Preview
Chapter 6 // Pt2: Light Dependent Reactions
Updated 1024d ago
Note
Preview
Ch 4 - Demand and Supply: The Basics
Updated 904d ago
Note
Preview
Chapter 27: Carbon Footprint and Pollution
Updated 893d ago
Note
Preview
Microbiology Quiz 7 (BIO 210)
Updated 1056d ago
Note
Preview
The Periodic Table
Updated 1000d ago
Note
Preview
Chapter 32 - The Politics of Boom and Bust
Updated 1115d ago
Note
Preview
Unit 2: Differentiation: Definition and Fundamental Properties
Updated 901d ago
Note
Preview
Explore top flashcards
biology
Updated 215d ago
Flashcards (44)
Preview
UNIT 5 – Test Review Sheet BIBLE
Updated 937d ago
Flashcards (33)
Preview
Digestive Lab
Updated 526d ago
Flashcards (52)
Preview
SET 6
Updated 237d ago
Flashcards (50)
Preview
apes unit 7 (memorization)
Updated 597d ago
Flashcards (45)
Preview
End of Year Language Review #1
Updated 545d ago
Flashcards (20)
Preview
TV STUDIO PRODUCTION MOCK EXAM
Updated 1079d ago
Flashcards (20)
Preview
Korean1101_L3C2
Updated 158d ago
Flashcards (23)
Preview