1/20
Looks like no tags are added yet.
Name | Mastery | Learn | Test | Matching | Spaced | Call with Kai |
|---|
No analytics yet
Send a link to your students to track their progress

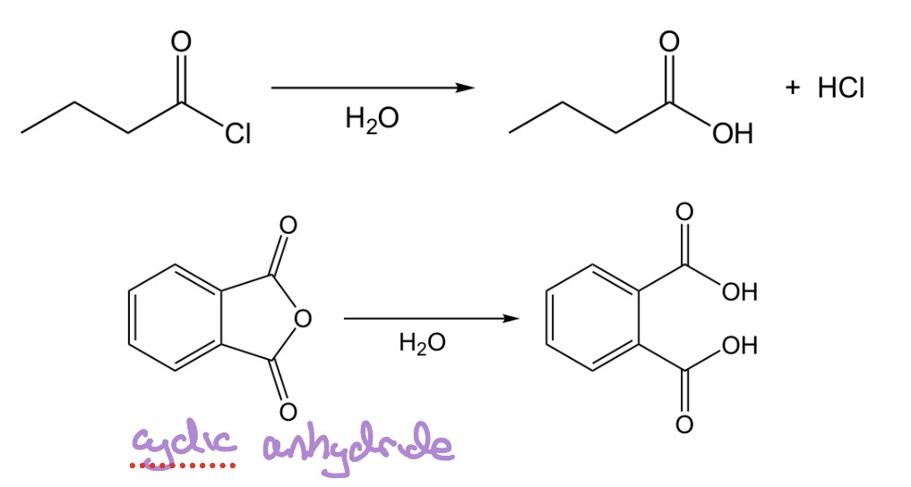
Acid Chloride/Anhydride to Carboxylic Acids

Acid Chloride/Anhydride to Amide (R-CO-NH2)


Ester to (Carboxylic Acid) + (Alcohol)
Saponification

Ester to (Amide) + (Alcohol)
Aminolysis

Ester to (Ester) + (Alcohol)
Transesterification

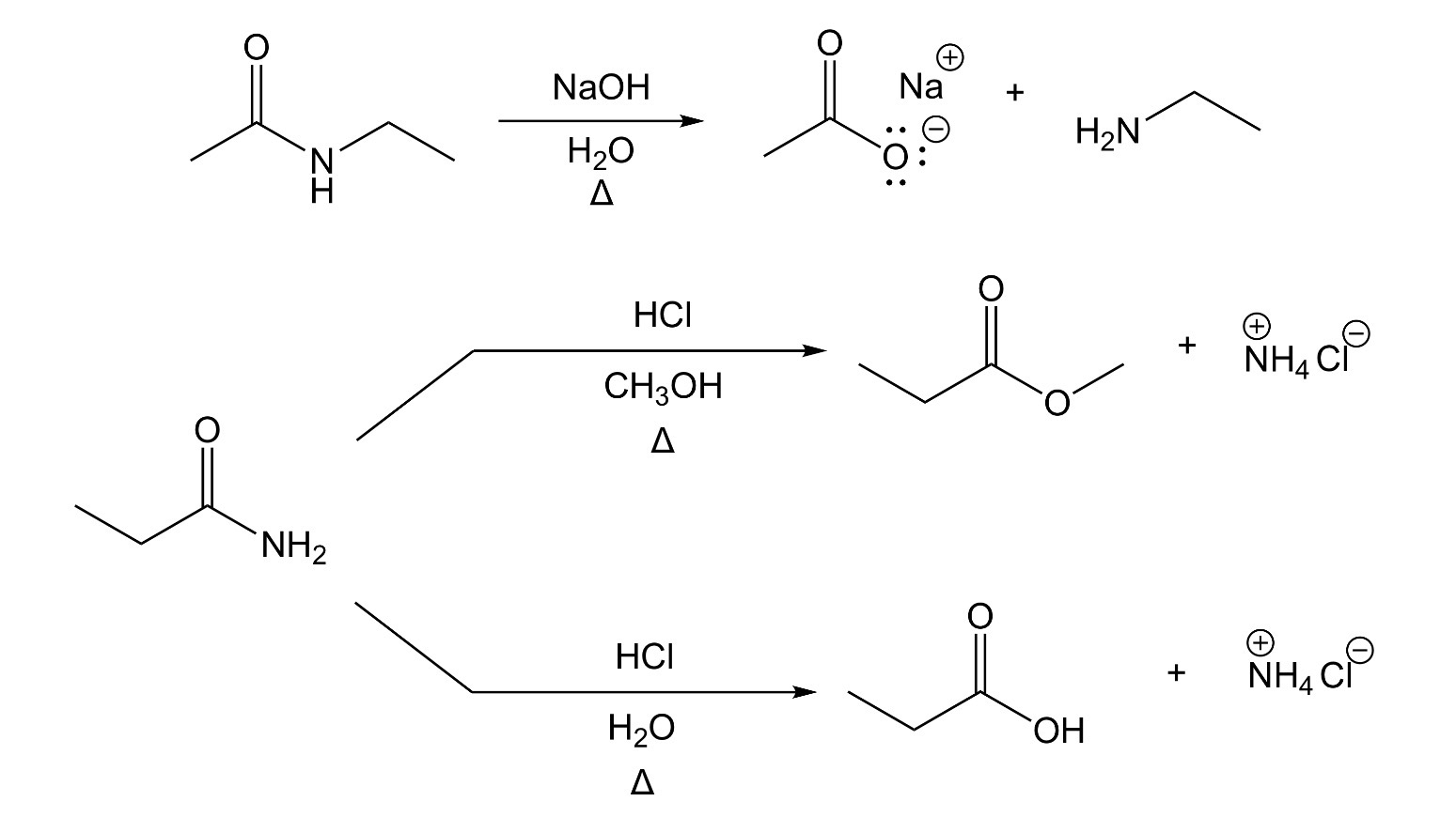
Amide to (Carboxylate) + (Amine) OR (Carboxylic Acid/Ester) + (Ammonium)
Ester Hydrolysis

Nitrile to (Carboxylic Acid) + (Ammonium)

Ester to (Alcohol + Cs) + (Methanol) + (Mg2+)
Organometallic Reagents

Acid Chloride to Ketone

Carboxylic Acid/Ester to Alcohol

Amide to Amine

Nitrile to Amine

Acid Chloride to Aldehyde

Ketone/Aldehyde to Alcohol + Cs


Acetylides to (Alkyne + Alcohol) + (Pyridine)

Aldehyde/Ketone to Alcohol
Reduction, can also use hydrogenation (H2, Pd/C) but need high T + P + catalyst

Ketone/Aldehyde to Cyanohydrin

Ketone/Aldehyde to 2x Alcohol


Ketone/aldehyde to hemiacetal/acetal
1 equiv. of alcohol produces hemiacetal and 2 produces acetal

Acetal to ketone/aldehyde
