1/24
Looks like no tags are added yet.
Name | Mastery | Learn | Test | Matching | Spaced | Call with Kai |
|---|
No analytics yet
Send a link to your students to track their progress
Void Ratio

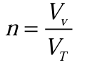
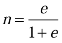
Porosity

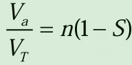
Degree of Saturation

Water/Moisture Content

Dry Unit Weight

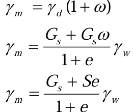
Moist Unit Weight

Saturated Unit Weight

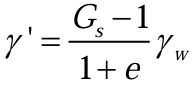
Submerged/Buoyant Unit Weight

Bulk Specific Gravity

Specific Gravity of Solids

Air Content

Air Void Ratio

Critical Hydraulic Gradient

Weight – Volume Relationships (in terms of Dry Unit Weight)

Weight – Volume Relationships (in terms of Moist Unit Weight)

Weight – Volume Relationships (in terms of Saturated Unit Weight)

Weight – Volume Relationships (in terms of Submerged Unit Weight)

Porosity (in terms of Void Ratio)

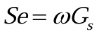
Fundamental relationship in soil mechanics connecting the degree of saturation (S), void ratio (e), water content (w), and specific gravity of soil solids (Gs)

Relative Density or Density Index (Dr)

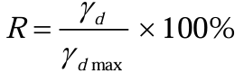
Relative/Percent Compaction

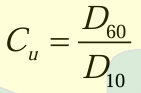
Coefficient of Uniformity

Coefficient of gyration/curvature

Sorting coefficient

Suitability Number
