1/29
Looks like no tags are added yet.
Name | Mastery | Learn | Test | Matching | Spaced | Call with Kai |
|---|
No analytics yet
Send a link to your students to track their progress
What do you get on the AP Physics C: Mechanics Exam?
You are allowed a calculator
You are allowed a ruler when doing the graphing FRQ
You are allowed a formula sheet BUT it does not include every formula you may need
Percent Error

Displacement

Average speed

Average velocity

Average acceleration

The derivative of Position with respect to time

The derivative of velocity with respect to time

Newtons First Law
If the NET force on a system is 0, the velocity of that system will remain constant. If at rest, it stays at rest, if in motion it continues to move at the same velocity
Newtons Second Law

Newtons Third Law

Center of mass formula of a nonuniform rod

Linear mass density

Centripetal Force

Velocity as it relates to circular motion
r is the radius

Gravitational Field Strength

Partial mass formula
m is mass, v is volume

Equilibrium Spring Constant for springs in series
k is the spring constants of each spring

Equilibrium Spring Constant for springs in parallel
k is the spring constants of each spring

Conservation of energy
Energy is never created or destroyed. ONLY TAKES DIFFERENT FORMS. Einitial=Efinal
work done by friction
mu is friction, m is mass, g is acceleration due to gravity and h is height.

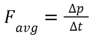
Average force as it relates to linear momentum

Conservation of momentum
Momentum is always conserved. pinitial=pfinal
Inelastic collisions
Momentum is conserved BUT kinetic energy is NOT
Elastic collisions
Both momentum and kinetic energy is conserved
Average Angular Velocity

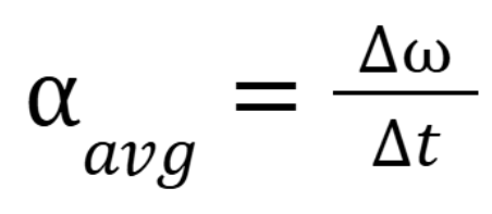
Average angular acceleration

Conservation of Angular Momentum
Angular momentum is always conserved. Linitial=Lfinal
Mechanical Energy of a satellite

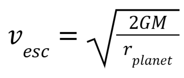
Escape speed
