1/15
Name | Mastery | Learn | Test | Matching | Spaced | Call with Kai |
|---|
No analytics yet
Send a link to your students to track their progress
radical hydrohalogenation

cyclopropanation (simmons-smith)

cyclopropanation (with dichlorocarbene)

dihydroxylation

ozonolysis

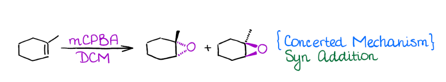
epoxidation

hydroboration-oxidation

alkoxymercuration-demercuration

oxymercuration-demercuration

catalytic addition

catalytic hydration

hydrohalogenation

alkoxyhalogenation

oxyhalogenation

halogenation

catalytic hydrogenation
