1/42
Looks like no tags are added yet.
Name | Mastery | Learn | Test | Matching | Spaced | Call with Kai |
|---|
No analytics yet
Send a link to your students to track their progress
z-test formula

5-step procedure
1) State the null and alternative hypotheses
2) Pick a level of alpha (probability criterion)
3) Set the decision stage (greater likelihood of rejection with 0.05)
A. Choose a test statistic
B. Locate rejection region in the sampling distribution
C. Identify critical limits
D. Clearly state the value of the observed statistic necessary to reject the null
4) Collect sample data and compute the test statistic
5) Make a decision
Type 1 alpha error
Rejected the null hypothesis, when you shouldn't have. The null is true.
Type II error
failed to reject the null, when you should have. Null is false
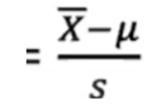
One sample t-test formula

One sample t-test Cohen’s d formula

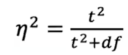
One sample t-test Eta square formula

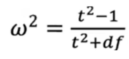
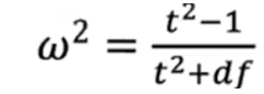
One sample t-test omega square formula

One sample t-test 95% and 99% certainty for t given df


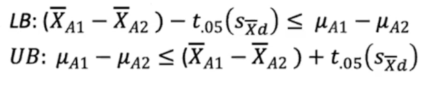
One sample t-test confidence interval on the difference of means

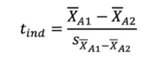
Two-sample t-test for independent groups formula

Footnote in the denominator of the two sample t-test ind

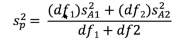
Pooled variance formula for two-sample t-test ind

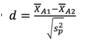
two sample t-test ind Cohen’s d formula

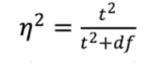
two sample t-test ind Eta square d formula

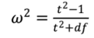
two sample t-test ind omega square formula

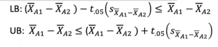
2 sample t-test ind confidence interval on the difference of means

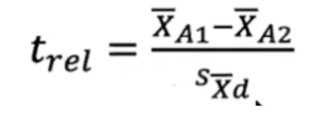
Two sample t-test for related groups formula

Standard error of the difference between pairs of scores formula (2-sample t-test related denominator)

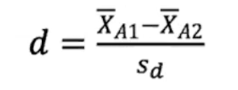
2 sample t-test related Cohen’s d formula


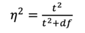
2 sample t-test related eta square formula

2 sample t-test related omega square formula

Confidence interval on the difference between means from related samples

ANOVA formula (s)


Squared sums formula


Post Hoc comparison Tukey’s HSD

Anova eta square formula


Anova omega square formula

How do you increase power?
We increase power by increasing absolute value of the test statistic. The larger the absolute value, the more likely it will fall in the rejection region.
How do you increase absolute value
Increase numerator, decrease denominator
Increase the mean difference/strength of Iv manipulation
Decrease standard error estimate: increase sample size or decrease stdv
How does t-test for related scores increase power
decreases the denominator of the test statistic
decreases the variability of scores (decreases stdv)
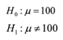
Hypothesis for z-test and 1 sample t-test

Hypothesis for 2 sample t-test ind and 2 sample t-test rel

Anova hypothesis

Synonyms for statistically significant
Real and reliable
2 characteristics of the null and alternative hyothesis
1) must be mutually exclusive
2) include all possible values
What is statistically significance?
1) observed value is large enough to fall in the rejection of the sampling distribution established by the alpha level and statistical hypothesis
2) value of test statistic is sufficiently rare to reject the null
To find the critical limit for 1 sample t-test, we need:
1) degrees of freedom
2) 1 or 2 tailed
3) alpha level for test (0.01 or 0.05)
What does cohen’s d measure
How many standard deviation units separate the means
What does eta square and omega square measure
The percentage of variance in the DV that can be predicted from the IV. In other words, by knowing what treatment a participant got, how well can you predict their score.
Omega square is a corrected measure of eta square to account for the bias of overestimation
What does omega square measure
A corrected ver
Mean Square (MS) is synonymous with what
Variance (ss/df)
3 assumptions of an F-test
1) each participant is randomly and independently chosen from the population
2) scores are distributed normally in the population
3) the variances of scores in the population are equal