1/142
Looks like no tags are added yet.
Name | Mastery | Learn | Test | Matching | Spaced |
|---|
No study sessions yet.
What is the employment rate?
The proportion of people in the population in paid work
What is the unemployment rate?
The proportion of the population who are without a job, who have been actively seeking work within the last four weeks and are available to start work within the next two weeks
What is economic activity?
The proportion of the population who are not in work, have not been seeking work within the last four weeks or are unable to start work in the next two weeks

How many people in the UK are between 16 and 64?
43 million
What is the UK employment rate as of Oct - Dec 2024?
74.9%
How has the employment rate changed over the past decade and particularly during/after covid?

What was the UK unemployment rate as of Dec 2024?
4.4%
How has the unemployment rate changed since 2009 including during/after covid?

What was the UK economic inactivity rate as of Oct - Dec 2024?
21.5%
How did the economic inactivity rate change over time and during/after covid?

As of Dec 2024, how many registered businesses, how many jobs and vacancies?
2.72 million businesses, 36.9 million jobs and 800k vacancies
What is the ratio of unemployed workers to vacant jobs?
2 unemployed workers for each vacant job

What relationship does the Beveridge curve show?
Shows the negative relationship between the (steady-state) unemployment and the vacancy rates

When unemployment is high (low), what happens to vacancies?
Vacancies are low (high)
How do unemployment and vacancies relate to tight/slack labour markets?
In a tight labour market (low unemployment relative to vacancies), firms struggle to find workers to hire, while in a slack labour market (high unemployment relative to vacancies), there are many unemployed workers but few job vacancies
What is the slope of the Beveridge curve?
Steady state labour market tightness
How do business cycle movements relate to the Beveridge curve?
Business cycle movements are movements along the Beveridge curve
What does a shift inward (outward) of the Beveridge curve mean?
That workers match with firms more efficiently (inefficiently).
What shape has the Beveridge curve taken since the pandemic?
Vertical
What happened to the vacancy and unemployment rates due to lockdown restrictions?
Due to lockdown restrictions, the vacancy rate fell sharply, but the furlough and other schemes implemented by the government prevented a rise in the unemployment rate
Which sectors in the UK hire substantial amounts of workers?

Which sectors saw the most impact from the pandemic?

What sectors are the largest employers of women and men?

Why are women found in more stable industries and men in more cyclical industries?

Where do we see qualification mismatches in the labour market?

What regions see job fit disparities?
There are also job fit disparities by region. London, South-East and East of England has the highest number of in-role graduates, but also has the highest number of mismatched graduates. The data suggests that across all the regions in the UK, there is about one mis-matched graduate for every two graduates in suitably qualified roles.

Why does it matter who works where?
It may imply labour underutilisation, loss of human capital and a drag on productivity when workers are employed in jobs that do not match their qualifications
It matters for policymaking: Large sectors can absorb many workers, but without good role–skill alignment the labour market and economic growth may decline
How do workers decide to search and find job matches?
In general, workers will search for a job when the value they derive from being employed is greater than the benefits of unemployment
The value of being employed has two important components. What are they?
i) the wage to be earned in the current period, and ii) the probability that the worker will continue (or not) to be employed in the future
What does the value of employment suggest workers are?
Are forward-looking; they consider their current and future ‘utility’ of working when they decide to search for a job and match.
Consider the labour market conditions and their future ‘outside options’ when taking on a job.
The value of being unemployed also has two main components. What are they?
The benefits of unemployment and the probability of finding a job in future or continuing to be unemployed.
The value of a firm with a filled job vacancy has three components. What are they?
i) the productivity of the worker on the job, ii) the wage the worker is paid and iii) the probability that the job match continues or breaks down and becomes vacant in future.
What does this mean firms are?
Forward-looking
What is the value of an unfilled vacancy to a firm equal to?
The cost of posting a vacancy and the probability that the vacancy is filled or continues to be open in future.
When is a job match successful for both firm and worker? And what must they agree upon?
When both worker and firm have a surplus, i.e., derive more value from being matched than being unmatched. This means the worker and firm must agree on a wage that is mutually beneficial.

Are employment flows procyclical or counter-cyclical?
Procyclical
What is job continuation?
Workers in work may remain in the same job or move from job to job without an unemployment spell.

What is the job-finding rate?
The number of job matches as a fraction of unemployed workers. In other words, it is the number of matches per unemployed worker.
What does it mean when the job-finding rate is high and why?

How have UK weekly earnings changed from 2012 to 2024, particularly during the pandemic?

What is the labour market model we assess called?
Diamond-Mortensen-Pissarides (DMP) model
In the DMP model, what do we assume about the time period and expectations?
An infinite-horizon without uncertainty/expectations
What do we assume about the number of workers, how long they live for and their utility derivation?

What do we assume about the number of firms and their production technology?

What does At represent in the production function?
MPL
What is the binary status of an individual in the labour market?
Employed or unemployed
Is there economic inactivity?
No
What is the size of the labour force in the model?
Normalised to 1
Which individuals search for work?
Only unemployed workers; no on-the-job searching
How many individuals does each firm employ?
Maximum of 1 worker
How does a firm enter the labour market?
Posts a vacancy at a cost of κ
What happens when a firm and worker meet?
Negotiate a wage (wt) and form a match for this period; no match rejection occurs
What profits does the firm generate from the match?
At - wt
What happens to the match at the end of the period?
Match breaks down at the end of the period with an exogenous probability τ
In any period, job matches are formed by what matching function?


What does each variable represent?

What properties does this tell us about the matching function?
The matching function is increasing in both arguments, concave, and linearly homogenous
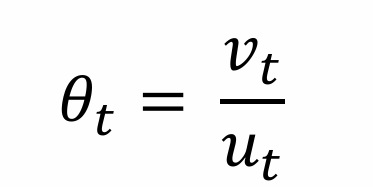
How do we define market tightness?
Number of vacancies per unemployed worker in period t

When is the labour market tight (slack)?
Tight (slack) when 𝜃 is high (low), i.e., when the number of vacancies relative to unemployed workers is high (low)
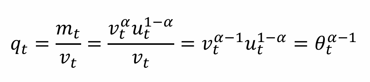
How do we define the probability that an open vacancy is filled (vacancy filling rate)?
The number of matches per vacancy

If the labour market is tight (slack), what happens to the vacancy filling rate?
If the labour market is tight (slack) i.e. 𝜃𝑡 is high (low), the vacancy-filling rate is low (high) because firms face more (less) competition to fill vacancies.
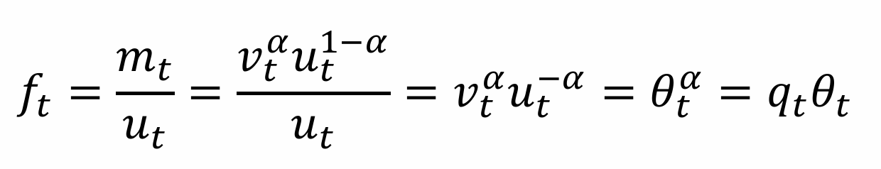
How do we define the probability that an unemployed worker finds a job (job-finding rate)?
The number of matches per unemployed worker

If the labour market is tight (slack), what happens to the job-finding rate?
If the labour market is tight (slack) i.e. 𝜃t is high (low), the job-finding rate is high (low) because more (less) vacancies are available than the number of job-seekers, so workers will find jobs more (less) easily.

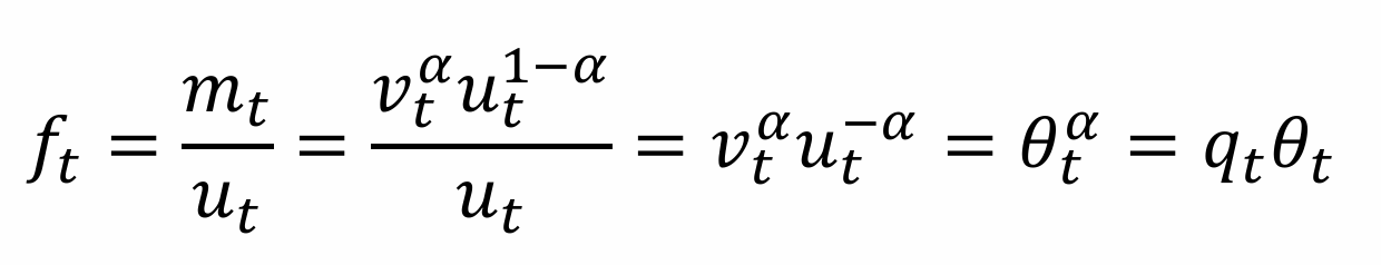
What relationships are seen in this equation?
Shows the relationship between the matching function, the job-finding and vacancy-filling rates and market tightness
Who does it imply benefits from a tight labour market and who does not?
A tight labour market favours job seekers; it implies a high job-finding rate but it is to the disadvantage of the firms that create jobs
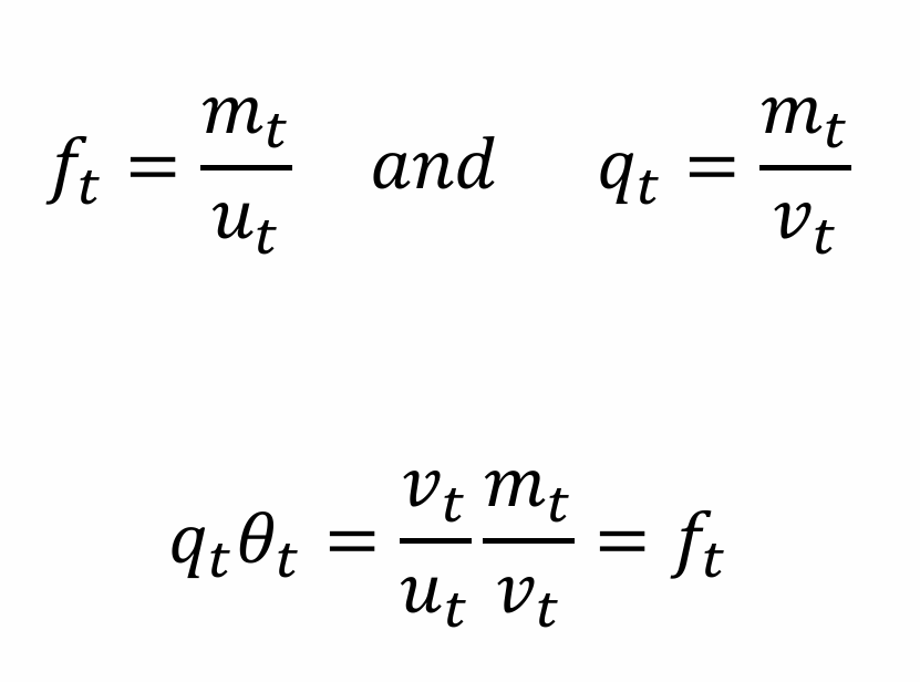
How do we get from ft to qt𝜃t?

When do we assume new matches become productive?
New matches become productive in the next period
How do we denote the aggregate employment rate?
Nt
How do we define the evolution of employment?
The employment rate in any next period is given by the number of current matches that survive, and the number of new matches formed

How do we define unemployment (and the unemployment rate?)
ut = 1 - Nt
How do we define the surplus for the firm from being in a match with a worker?
The difference between their value functions, when the vacancy is filled Jft and when the vacancy is open/unfilled Vt
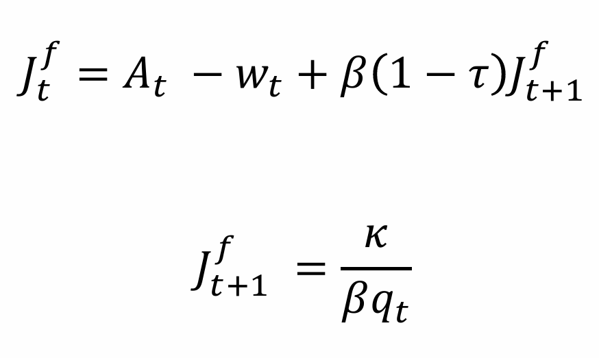
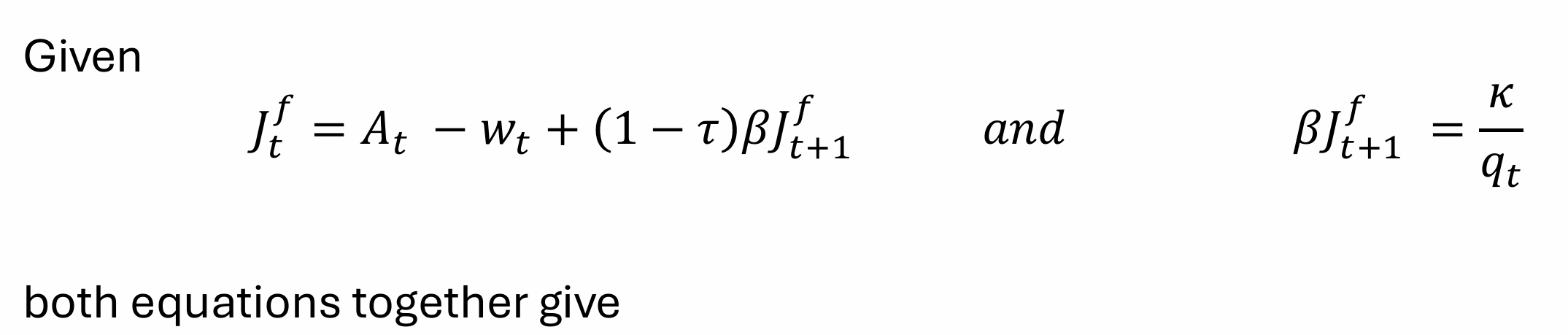
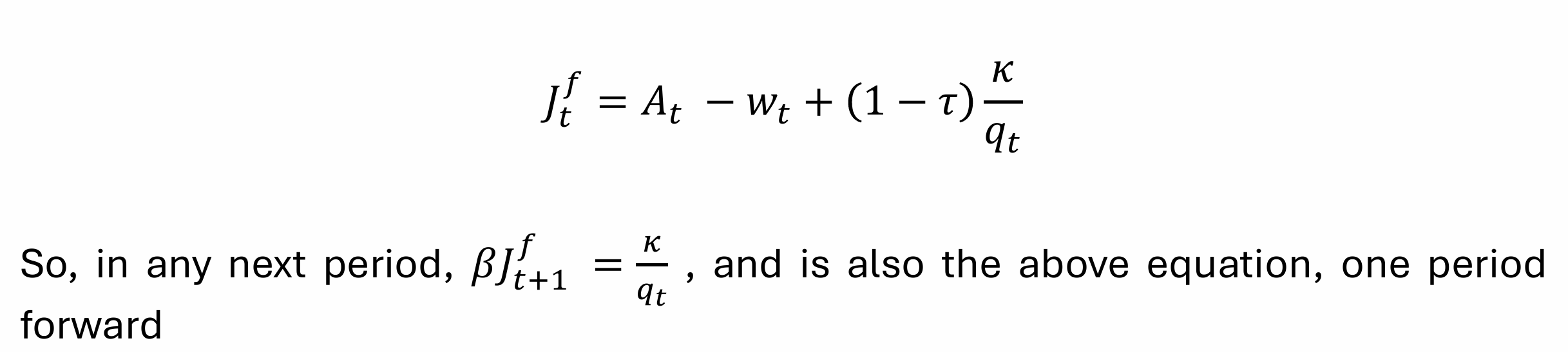
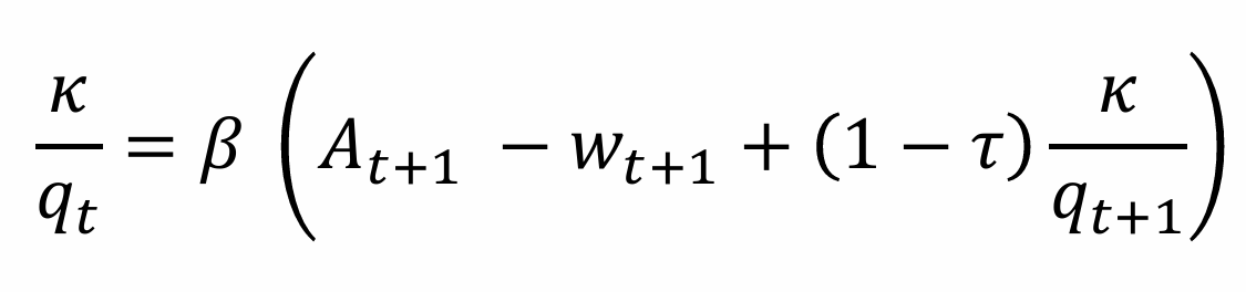
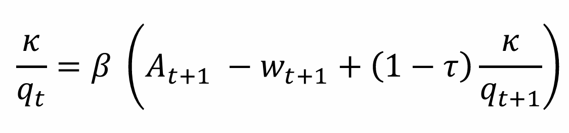
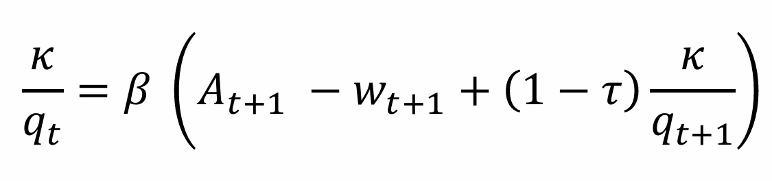
How do we define the value function of a filled vacancy for the firm?
The value of a filled vacancy is equal to the productivity of the worker in the job, less the wage paid to the worker, and accounting for the probability that the match will breakdown by the end of the period and become vacant, or that the match continues in the next period and remains filled

How do we define the value function of an open vacancy for the firm?
The value of an open vacancy is the cost of posting the vacancy and the probability that the vacancy will be filled and become productive in the next period, or remain vacant in the next period








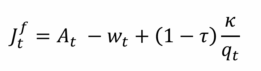
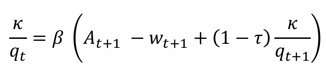
What is this known as?
The cost of hiring a worker and the vacancy creation condition

What does the LHS tell us?
The number of vacancies a firm must post to fill a vacancy (MC)

What does the RHS tell us?
i.e. the (stream of future) benefits for the firm


How does this represent the optimality condition for the firm?
Firms post vacancies until the marginal cost (i.e., the LHS) equals the (stream of future) benefits (i.e., the RHS)
How do we define the surplus for a worker from being in a match with a firm?
The difference between their value functions when they are employed Jwt and when they are unemployed Jut.
How do we define the value function for an employed worker?
The value of being employed is the wage the worker receives, and the probability that the match will breakdown by the end of the period and they become unemployed, or that the match continues in the next period and they remain employed

How do we define the value function for an unemployed worker?
The value of being unemployed is the benefits of leisure and the probability of finding a job and becoming employed in the next period, or not finding a job and remaining unemployed in the next period

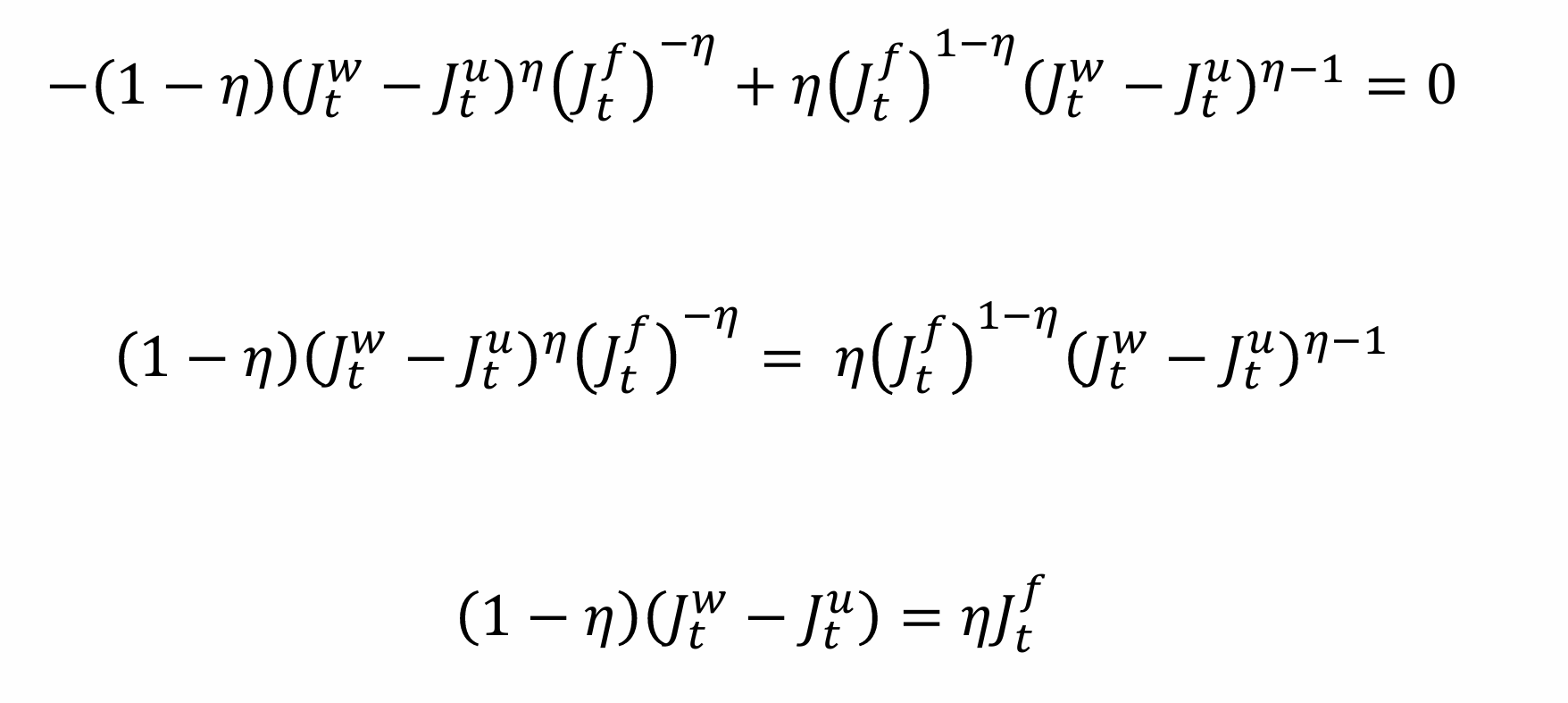
How is the wage determined?
Nash bargain between the worker and firm over their match surpluses


What domains are present for this Nash bargain?


What is the FOC?

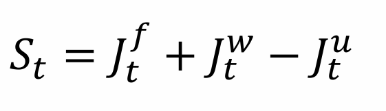
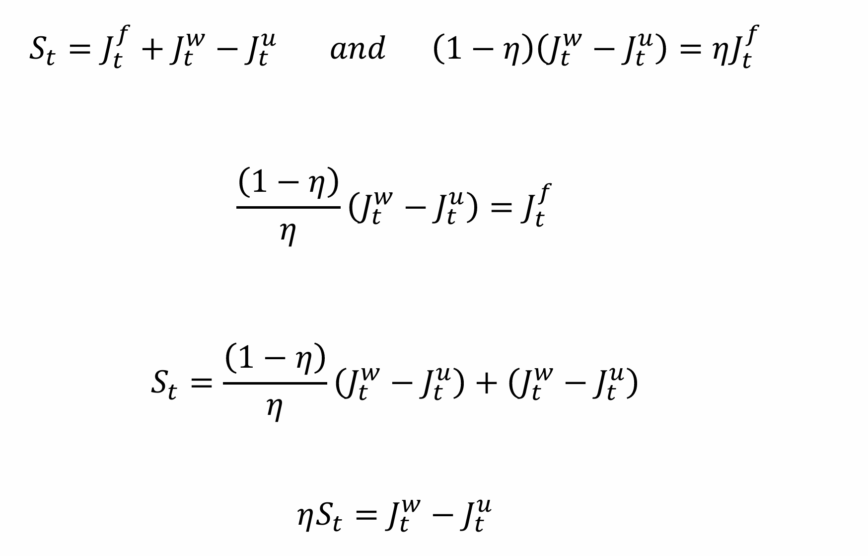
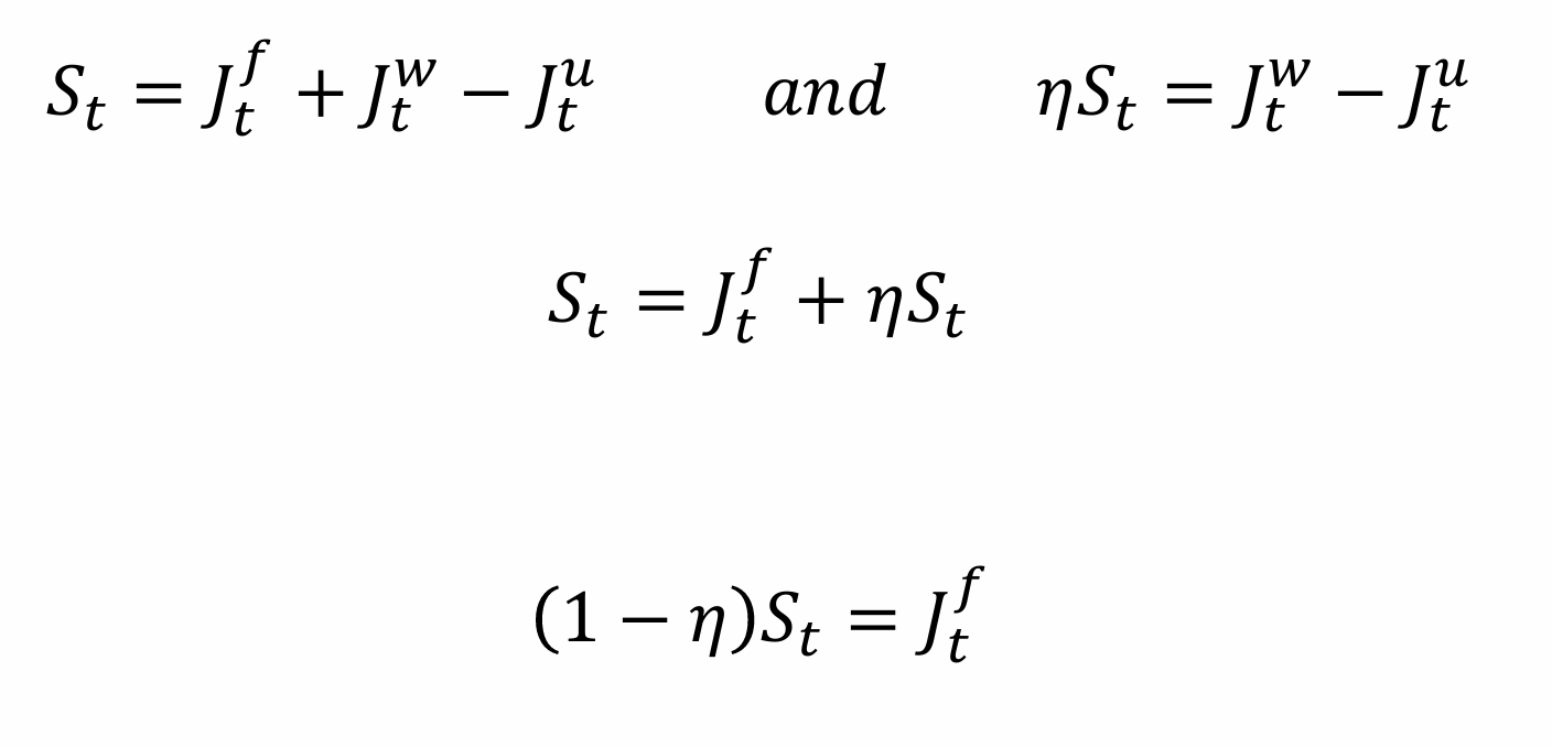
What is the total surplus equal to?


Obtain nSt


Obtain (1-n)St

Obtain an equation for the Nash bargained wage


What does this represent?
The share of the joint surplus allocated to the worker, weighted by their bargaining power

What does this represent?
A measure of the worker’s value to the firm, i.e., the worker’s productivity and the cost to the firm from recruiting them

What does the presence of At in the Nash bargained wage equation tell us?
People with higher educational qualifications earn a higher wage (because they generally have higher productivity)

What does this tell us?
The role of search frictions on the wage
i.e. hiring costs, in terms of the cost of posting vacancies the difficulty/ease in hiring the worker, reflected by market tightness, is reflected in the wage
Where was the role of search frictions not seen?
Absent in the workhorse DSGE model, which assumed a perfectly competitive labour market
What does a tight (slack) labour market imply about wages for workers?
Higher (lower) wage
What do high (low) costs of posting vacancies imply about wages for workers?
Higher (lower) wage
What does higher worker bargaining power imply the worker gets?
A larger share of the joint surplus of the match

What does this term represent?
The outside option of the worker (leisure, home production, unemployment benefits), weighted by the firm’s bargaining power
When the benefits of unemployment are high, what happens to the wage and why?
The wage must also partly compensate the worker for the benefits of leisure which they forgo by being employed, and therefore, the wage is higher when the benefits of unemployment is high