1/33
Looks like no tags are added yet.
Name | Mastery | Learn | Test | Matching | Spaced |
|---|
No study sessions yet.
1 + tan² θ

cot² θ + 1

tan θ

sin²θ+cos²θ=?
1
cos(a-b)
cos(a)cos(b) + sin(a)sin(b)
cos(a+b)
cos(a)cos(b) - sin(a)sin(b)
sin(a+b)
sin(a)cos(b) + cos(a)sin(b)
sin(a-b)
sin(a)cos(b) - cos(a)sin(b)
sin(2θ)=
2sinθcosθ
cos(2θ)=
cos²θ-sin²θ
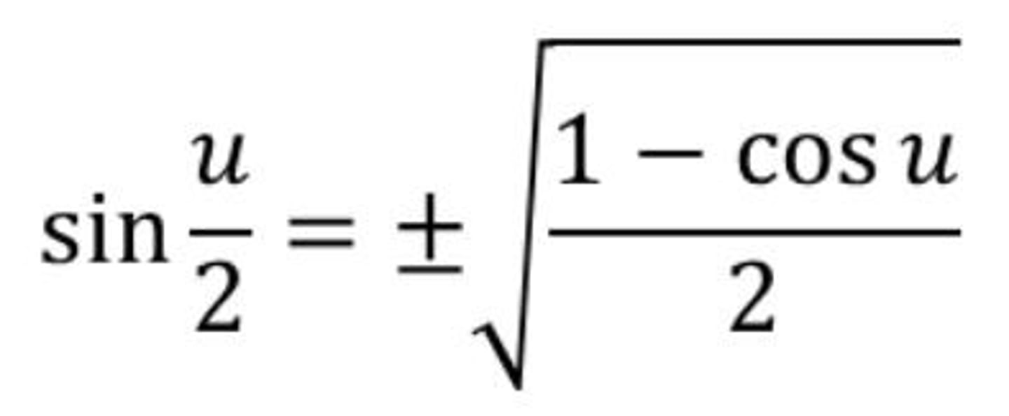
sin(x/2)

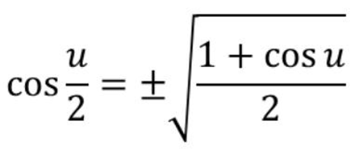
cos(x/2)

tan(x/2)

sin²x
Power Reducing identity

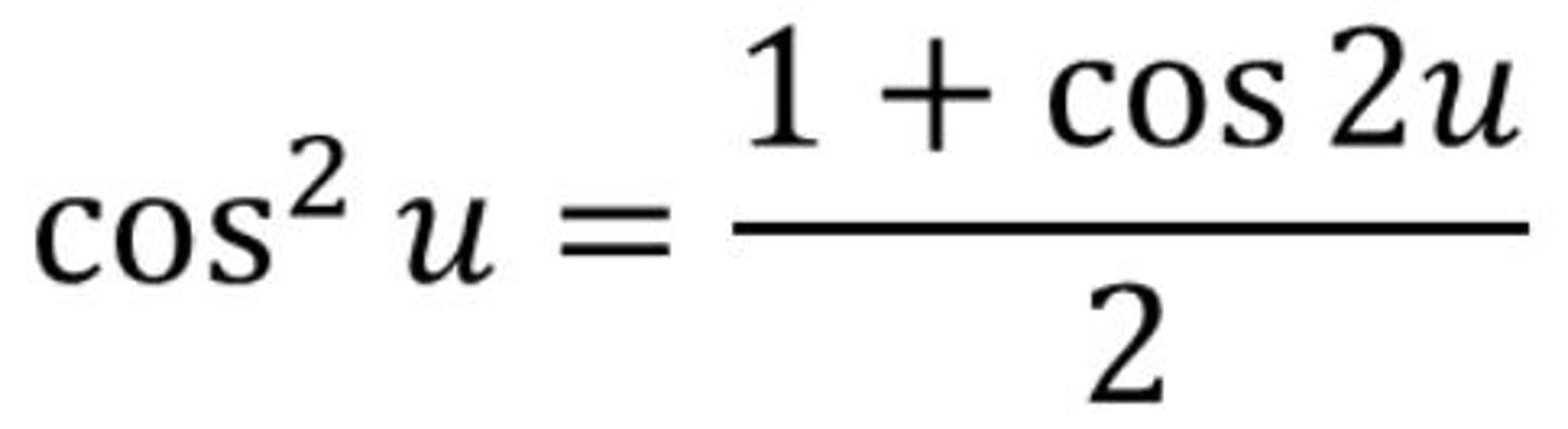
cos²x
Power Reducing identity

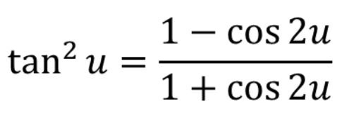
tan²x
Power Reducing identity

sin²(x) (Pythagorean Identity)
1 - cos²x
cos²(x) (Pythagorean Identity)
1 - sin²x
tan²(x) (Pythagorean Identity)
sec²x - 1
sec²(x) (Pythagorean Identity)
tan²x + 1
cot²(x) (Pythagorean Identity)
csc²x - 1
csc²(x) (Pythagorean Identity)
1 + cot²x
tan(a + b)

sin x (Reciprocal Identity)
1/(csc x)
cos x (Reciprocal Identity)
1/(sec x)
tan x (Reciprocal Identity)
1/(cot x)
tan 30° or tan π/6

tan 45° or tan π/4
1
tan 60° or tan π/3

tan 90° or tan π/2
Undefined
tan 180° or π
0
Quadrants where sin x is positive
Quadrant I and II
Quadrant where sin x is positive and tan x is negative
Quadrant II
Quadrant where tan x is positive and cos x is negative
Quadrant III