1/26
Looks like no tags are added yet.
Name | Mastery | Learn | Test | Matching | Spaced |
|---|
No study sessions yet.
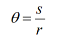
θ
Use **** as coordinate for rotation
positive
Specify sense of DIRECTION | CCW
negative
Specify sense of DIRECTION | CW
radians
We measure angle by

angular position formula

1 radian = how much degree (conversion)

360 degree or 1 revolution

180 degree

90 degree

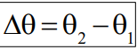
Angular Displacement Formula
Angular Velocity
Rate of change of radian or angle

rad/s or rev/minute
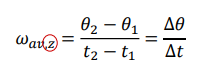
Angular Velocity Formula and SI Unit
CCW Rotation Positive

CW Rotation Negative

Positive angular velocity
Rotates in direction of INCREASING theta/angle
Negative angular velocity
Rotates in direction of DECREASING theta/angle

angular Velocity Conversion rev to rad
Angular Acceleration
Change in the angular velocity of a rigid body in time

rad/s²
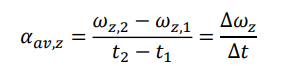
Angular Acceleration Formula and SI UNIT
speeding up
a is same direction as w:
slowing down
a is opposite direction as w:

Rotation with Constant Angular Acceleration ALL FORMULAS

Relationship between linear and angular speed

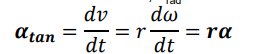
Tangential acceleration, atan formula

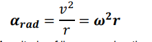
Radial acceleration, arad formula

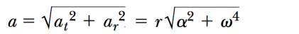
Magnitude of linear acceleration formula
NOT
For rolling without slipping, the acceleration does **** depend on the mass or radius for a given shape.