Water Resources Midterm

0.0(0)
studied byStudied by 3 people
full-widthCall with Kai
GameKnowt Play
learnLearn
examPractice Test
spaced repetitionSpaced Repetition
heart puzzleMatch
flashcardsFlashcards
Card Sorting

1/76

encourage image

There's no tags or description

Looks like no tags are added yet.

Study Analytics
Name
Mastery
Learn
Test
Matching
Spaced

No study sessions yet.

77 Terms

1
New cards

Competing interests in water management

Domestic use

Agriculture

Hydropower generation

Recreational use

Ecosystems

International boundaries

Esthetic and spiritual interests

2
New cards

Constituents of well being

Security

Basic material for life

Health

Good social relations

3
New cards

Four key issues in water disputes

Quantity

Quality

Timing 

Space

4
New cards

Why have international basins increased over time?

Changing political borders, improved mapping technology, refined data collection methods

5
New cards

What are the cooperative management mechanisms?

Providing forums for joint negotiation

Considering different perspectives 

Building trust through collaboration

Making cooperative decisions even if there is no consensus 

6
New cards

Global water issues (examples)

Climate change

Transboundary water stress

Urbanization

7
New cards

Local water issues (examples)

Boil water advisories 

Seasonal shortages

Flash floods

Groundwater depletion

8
New cards

Considerations for small-scale design

Simplicity and ease of maintenance

Use of locally available materials

Flexibility and modularity

Cultural compatibility 

Community involvement in design

9
New cards

Wastewater treatment plant community considerations

Noise

Odor and air quality 

Traffic and road access

Visual impact and aesthetics

10
New cards

Stormwater management system community considerations

Flood risk and property protection

Green space and recreation

Public safety and visibility 

Maintenance and stewardship 

11
New cards

Clean Water Act of 1972

Gave the EPA authority to set effluent standards; “swimmable and fishable”

12
New cards

Point source

a source of potential pollution that is discharged to a lake, river, or stream from a defined point, such as the end of a pipe or channel

13
New cards

National Pollutant Discharge Elimination System (NPDES)

Enforcement arm of the EPA Clean Water Act; the discharge of pollutants into US water requires an NPDES permit

14
New cards

Non-point source

A source of potential pollution that enters a lake, river, or stream indirectly (ex. snowmelt, rainfall)

15
New cards

Total maximum daily load (TMDL)

Establishes the maximum amount of a pollutant allowed in a waterbody and serves as the starting point or planning tool for restoring water quality 

16
New cards

TMDL State Actions

  1. Identify waters that are impaired or in danger of becoming impaired

  2. Calculate and allocate pollutant reduction level necessary to meet approved water quality standards

17
New cards

Most common TMDL impairments

Bacteria

DO

Mercury

Nutrients 

Sediment

18
New cards

Safe Drinking Water Act (SDWA)

Focuses on protecting public drinking water supplies; sets national health-based standards 

19
New cards

Resource Conservation and Recovery Act (RCRA)

Govern the management of hazardous and solid waste; regulates landfills, incinerators, and underground storage tanks 

20
New cards

Comprehensive Environmental Response, Compensation, and Liability Act (CERCLA)

Addresses the cleanup of hazardous waste sites and holds polluters financially responsible 

21
New cards

Tragedy of the commons

Situation where individuals, acting in their own self-interest, overuse and deplete a shared resource; leads to market inefficiency due to overconsumption and depletion

22
New cards

Consumer surplus

The difference between what consumers are willing to pay and what they actually pay; area above price level and below demand curve

23
New cards

Producer surplus

The difference between what the price producers receive and the minimum they would accept; area below price level and above the supply curve  

24
New cards

Efficient market

When consumer and producer surplus and maximized

25
New cards

Type of water laws in the east

Riparian doctrine

26
New cards

Type of water laws in the west

Appropriation (prior use) doctrine

27
New cards

Riparian doctrine

Water allocation based on property ownership along the water source’s path

28
New cards

Prior appropriation doctrine

“First in time, first in right"

Water rights are granted based on priority of beneficial use and/or permit holding 

29
New cards

Statutory water right doctrine

State owns all water and can manage to balance needs

30
New cards

Water resources/rights in the U.K.

Riparian doctrine; if water amounts cannot satisfy needs, allotments are generally fixed in proportion to frontage on the water source

31
New cards

Water resources/rights in Australia

Cap and trade system; shares of water are assigned by the government, but branches can redistribute/trade amounts between eachother 

32
New cards

Water rights in Wisconsin

Hybrid (restatement of torts rule)

33
New cards

Water resources/rights in UAE

Water rights are centralized, and access is determined by government regulation; heavy reliance on desalination and treated wastewater 

34
New cards

Amount of groundwater used

69.8 billion gallons/day

35
New cards

How much of water is consumed for irrigation?

81%

36
New cards

Most common groundwater doctrines

Rule of capture

Correlative rights

Reasonable Use Rule 

Prior Appropriation 

37
New cards

Prior appropriation

first in time, first in right

38
New cards

Reasonable Use rule 

extraction allowed unless it harms others

39
New cards

Correlative rights

allocation based on land area over aquifer

40
New cards

Rule of capture

unlimited extraction

41
New cards

EPA

regulates underground injection and drinking water safety under the Safe Drinking Water Act

42
New cards

USGS

monitors groundwater levels and trends

43
New cards

USACE and Reclamation

Support aquifer recharge and infrastructure

44
New cards

Why does it matter when rivers reach the ocean?

Deltas are biologically rich 

Fisheries are important economically and culturally

45
New cards

How have changes to ecosystems provided substantial benefits?

Food production has more than doubled since 1960

Food production per capita has grown 

Food prices have fallen 

46
New cards

Market contributions of agriculture

Accounts for a large amount of the world’s labor force

Accounts for 24% of GDP in developing countries 

47
New cards

Market contribution of ecosystem-service industries

Food production

Timber industry

Marine fisheries 

Marine aquaculture 

Recreational hunting and fishing 

48
New cards

Nonlinear changes in ecosystems

Accelerating, abrupt, and potentially irreversible changes to ecosystems

ex. Newfoundland fisheries collapse in 1992, Iceland’s deforestation

49
New cards

Traditional economist capital

Produced means of production; where produced implies “produced by humans”

50
New cards

Ecological economist capital

Means of production provided by nature

51
New cards

Ecosystems are the combined interactions of what?

biological/living components and physical/non-living components

52
New cards

ecosystem services

services provided by the natural environment which benefit people

53
New cards

Types of ecosystem services

Provisioning services, regulating services, supporting services, cultural services

54
New cards

Provisioning services

food, fresh water, fuel, fiber (direct)

55
New cards

Regulating services

climate regulation, flood regulation, water filtration (indirect)

56
New cards

supporting services

nutrient cycling, soil formation (indirect)

57
New cards

cultural services

aesthetic, spiritual, educational, recreational (existence)

58
New cards

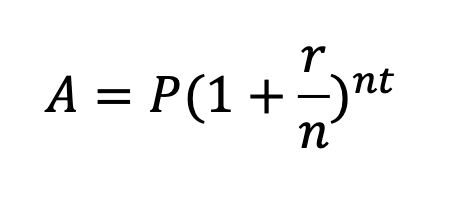
single payment compound amount

A = amount of money accrued after t years 

P = principal amount

r = rate of interest as a decimal

t = number of years

n = number of time the interest in compounded per year

<p>A = amount of money accrued after t years&nbsp;</p><p>P = principal amount</p><p>r = rate of interest as a decimal</p><p>t = number of years</p><p>n = number of time the interest in compounded per year</p>
59
New cards

Future worth of level annuity

FW = future worth

A = annual amount

i = interest rate as a decimal

n = number of years

<p>FW = future worth</p><p>A = annual amount</p><p>i = interest rate as a decimal</p><p>n = number of years</p>
60
New cards

What factors influence consumption/production levels and sustainability in ecosystems?

population change, change in economic activity, sociopolitical factors, cultural factors, technological change

61
New cards

Approaches to ecosystem services valuation

Market-based, replacement-cost, avoided cost, travel cost, hedonic pricing, contingent valuation, choice experiments

62
New cards

Market based valuation method

Used to approximate the value of environmental goods that are bought and sold on a market

63
New cards

Replacement cost method 

The amount of money that it would take to replace an ecosystem service with human made equipment 

64
New cards

Avoided cost method

The amount of money from potential damages or expenditures that would occur if you lost an ecosystem service 

65
New cards

Travel cost method 

The value of recreational benefits generated by ecosystems; assumes that the value of the site or its recreational services is reflected in how much people are willing to pay to get there 

66
New cards

Hedonic pricing method

Quantifies value of ecosystem services by analyzing house prices and potential effects of the environment

67
New cards

contingent valuation method

Surveys people’s willingness to pay for ecosystem components

68
New cards

Choice experiments

Survey to discover individual preferences for changes in an environmental good or service; allows for broader choices and comparisons of issues

69
New cards

What are the key purposes of ecosystem valuation?

To recognize and quantify the benefits ecosystems provide

To support informed decision making 

To help compare natural systems to built infrastructure in terms of cost-effectiveness and sustainability  

70
New cards

Areas to integrate valuation methods 

  1. Policy development and regulation

  2. Cost-benefit analysis

  3. Environmental impact assessments

  4. Public investment and budgeting 

71
New cards

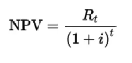
Net present value

Financial method used to evaluate the profitability of an investment by calculating the difference between the present value of expected cash inflows and outflows over a specific time period; time value of money

Rt = Net cash flow in year t

i = discount rate (reflects the time value of money and opportunity cost)

t = time period (year cash flow)

<p>Financial method used to evaluate the profitability of an investment by calculating the difference between the present value of expected cash inflows and outflows over a specific time period; time value of money</p><p>Rt = Net cash flow in year t</p><p>i = discount rate (reflects the time value of money and opportunity cost)</p><p>t = time period (year cash flow)</p>
72
New cards

Environmental impact assessment (EIA)

Formal processes used to evaluate the potential environmental consequences of proposed projects before they are approved; National Environmental Policy Act (NEPA)

73
New cards

Millenium Ecosystem Assessment (MA) Scenarios

These examples design future scenarios caused by water resources conditions:

Order from strength

Technogarden

Adapting Mosaic

Global orchestration

74
New cards

Order from strength

A fragmented world focused on security and regional interests

Weak environmental governance and slower development

75
New cards

Adapting mosiac

Regional, community-based ecosystem management

Mixed success in sustainability across regions

76
New cards

Technogarden

A globally connected world using technology to solve ecological problems

Ecosystem services maintained through innovation

77
New cards

Global orchestration

Strong international cooperation and equity-focused policies

Rapid economic development with coordinated ecosystem protection

Explore top flashcards

AQA A Level Biology
Updated 1005d ago
flashcards Flashcards (401)
ao3
Updated 871d ago
flashcards Flashcards (22)
Unit 3
Updated 886d ago
flashcards Flashcards (95)
Diversity (Specifics)
Updated 709d ago
flashcards Flashcards (319)
module 3
Updated 1102d ago
flashcards Flashcards (20)
AQA A Level Biology
Updated 1005d ago
flashcards Flashcards (401)
ao3
Updated 871d ago
flashcards Flashcards (22)
Unit 3
Updated 886d ago
flashcards Flashcards (95)
Diversity (Specifics)
Updated 709d ago
flashcards Flashcards (319)
module 3
Updated 1102d ago
flashcards Flashcards (20)