1/21
Looks like no tags are added yet.
Name | Mastery | Learn | Test | Matching | Spaced |
|---|
No study sessions yet.

























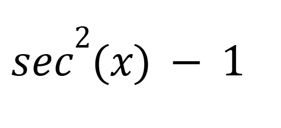
Pythagorean Trigonometric Identity


Pythagorean Trigonometric Identity


Pythagorean Trigonometric Identity


Pythagorean Trigonometric Identity


Pythagorean Trigonometric Identity


Pythagorean Trigonometric Identity


Double-angle Trig Identity


Double-angle Trig Identity




