1/4
Looks like no tags are added yet.
Name | Mastery | Learn | Test | Matching | Spaced | Call with Kai |
|---|
No analytics yet
Send a link to your students to track their progress
Parametric equations
Two variables given as functions of one variable. x = f(t), y = g(t).
Sketching parametric curves
Identify the curve
eliminate parameter to find relationship between x and y
identities might be needed
Determine part of curve that’s included
use table/knowledge of given parametric eqs
Determine direction of curve
table: sub in t-values to determine (x, y) coordinates
Differentiation with parametric curves
horizontal tangent when dy/dx = 0
vertical tangent when dy/dx = undefined

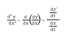
Second derivative of parametric curve

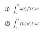
Integration with parametric curves
For x = f(t) and y = g(t) and boundaries α < t < β
Area between curve & x-axis. Integral is negative for below axis.
Area between curve & y-axis. Integral is negative for below axis.
If y=a & y=b OR x=a & x=b given then convert to parameter values.
Lower boundary (α) could be bigger than upper boundary (β).
