1/20
Looks like no tags are added yet.
Name | Mastery | Learn | Test | Matching | Spaced |
|---|
No study sessions yet.

Ammine

Amine

Aqua

Carbonyl

Nitrosyl

Acetylacetonato

Ethylenediamine

Imidazole

Pyridine

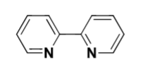
2,2’-bipyridine

1,10-phenanthroline

Tri-’R’-phosphine

Phosphites

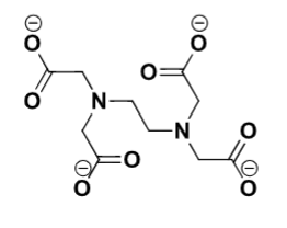
EDTA

Thiocyanato

Thiosulfato

Carbonato

Oxalato

Hydroxo

Sulfito

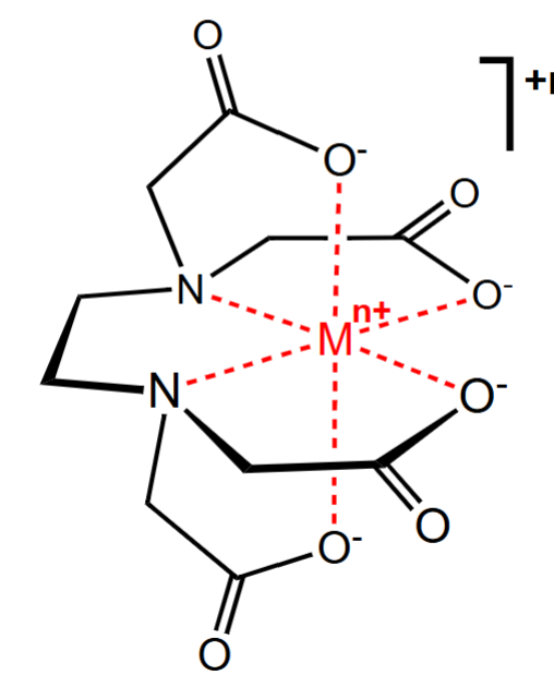
Metal and EDTA complex