Biostatistics Midterm

0.0(0)
studied byStudied by 0 people
0.0(0)
full-widthCall with Kai
GameKnowt Play
New
learnLearn
examPractice Test
spaced repetitionSpaced Repetition
heart puzzleMatch
flashcardsFlashcards
Card Sorting

1/66

encourage image

There's no tags or description

Looks like no tags are added yet.

Study Analytics
Name
Mastery
Learn
Test
Matching
Spaced

No study sessions yet.

67 Terms

1
New cards

tidyverse

coherent system of packages for data manipulation, exploration, and visualization that share a common design philosophy

2
New cards

The probability of event A is

P(A)

3
New cards

A probability can range from

0 to 1

4
New cards

P(A) can be estimated by

m/n

  • n is number of trials or experiments

  • m is the number of times A occurs

5
New cards

As n increases

m/n approaches P(A)

6
New cards

Probability

frequency of occurrence of an event

7
New cards

Calculating probability

Numerator: How many times does the event occur 

Denominator: how many times could the event occur

8
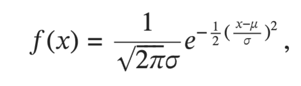
New cards

numerator and denominator for a probability of some characteristic

numerator: number of people with that characteristic

denominator: total number of people in the populatio

9
New cards

The complement of event A is 

anything that is NOT

<p>anything that is NOT </p><p></p>
10
New cards

P(A^c)

1-P(A)

11
New cards

Odds

P(A)/P(A^c)

12
New cards

Odds to probability

knowt flashcard image
13
New cards

Joint probability

probability that two separate events both occur

14
New cards

Calculating joint probability

numerator: how many times do both events occur

denominator: how many times could both events occur?

15
New cards

Calculating conditional probability

restrict the sample size to only include those individuals, THEN calculate the probability

<p>restrict the sample size to only include those individuals, THEN calculate the probability</p>
16
New cards

count()

used to tally up the number of observations per level of a variable

<p>used to tally up the number of observations per level of a variable</p><p></p>
17
New cards

count() and joint probabilities

we cant count() by two variables to get the numbers for a table to calculate joint probabilities

<p>we cant count() by two variables to get the numbers for a table to calculate joint probabilities</p>
18
New cards

filter()

to get the subset of data we want to condition on

19
New cards

Conditional probability in R

knowt flashcard image
20
New cards

Prevalence

probability of having disease

<p>probability of having disease </p>
21
New cards

complement of the prevalence

the probability of NOT having disease

<p>the probability of NOT having disease</p>
22
New cards

Sensitivity 

conditional probability of testing positive given they have the disease

<p>conditional probability of testing positive given they have the disease </p>
23
New cards

Specificity

conditional probability of testing negative given they do not have the disease

<p>conditional probability of testing negative given they do not have the disease </p>
24
New cards

false negative

given a person truly has disease, what is the probability that they test negative?

<p>given a person truly has disease, what is the probability that they test negative?</p>
25
New cards

false positive 

given a person truly does not have disease, what is the probability that they test positive?

<p>given a person truly does not have disease, what is the probability that they test positive?</p>
26
New cards

Positive Predictive Value (PPV)

if you test positive, what is the probability you actually have the disease

<p>if you test positive, what is the probability you actually have the disease </p>
27
New cards

Negative Predictive Value (NPV)

if you test negative, what it the probability that you actually do not have the disease

<p>if you test negative, what it the probability that you actually do not have the disease</p>
28
New cards

mean

the average 

29
New cards

median

the middle value (50th percentile)

30
New cards

Mode

the most frequent value

31
New cards

na.rm = TRUE

tells R to ignore missing values

32
New cards

calculating mean in R example

knowt flashcard image
33
New cards

Range

the difference between the largest and smallest values

34
New cards

Variance

the average squared-distance each observation is from the mean

35
New cards

standard deviation

measure of how spread out or dispersed the values in a data set are from the mean

36
New cards

standard deviation in R example

knowt flashcard image
37
New cards

parameter

measurement describing the entire population

38
New cards

simple random sample

every member of the population has the same chance of being selected or sampled

39
New cards

Stratified sample

split the population into strata where observations within each strata look similar, then sample from each strata 

40
New cards

cluster sample

split the population into similar clusters full of different looking observations

41
New cards

sample_n()

draws a random sample of size

42
New cards

replace = FALSE

once an observation is selected, it can not be selected again

43
New cards

simple random sample example in R

knowt flashcard image
44
New cards

example of mean in in R

knowt flashcard image
45
New cards

Random variable

an observation that has a single numerical value that is determined by chance, as the outcome

46
New cards

probability distribution

gives the probability of observing any possible value of a random variable

47
New cards

Discrete distributions

a probability distribution that assigns probabilities to a set of distinct, separate, and countable outcomes of a random variable

  • ex. number of pets in a household

48
New cards

population proportion

true fraction of individuals in an entire population that share a specific characteristic

49
New cards

basic structure of ggplot

<p></p><p></p>
50
New cards
<p>what are all the variables</p>

what are all the variables

knowt flashcard image
51
New cards

Continuous Random Variables

can take on any value within a range

  • ex. annual radiation exposure level of an x-ray technician

52
New cards

continuous random variable in R

knowt flashcard image
53
New cards

Normal distribution

the most common continuous distribution

<p>the most common continuous distribution </p>
54
New cards

Normal distribution parameters

Mean and standard deviation

<p>Mean and standard deviation </p>
55
New cards

Normal distributions are

symmetric around their mean and unimodal

56
New cards

Normally distributed RVs are

continuous and can take any value from -infinity to infinity

57
New cards

Finding probabilities involved Normal Random Variables

find the area under the curve corresponding to the values we are interested in

58
New cards

areas under normal distributions formula

knowt flashcard image
59
New cards
term image
knowt flashcard image
60
New cards

lower.tail = TRUE

tells us we want the probability that is LESS THAN the value we give R (left side of the distribution)

61
New cards

lower.tail = FALSE

tells us we want the probability that is GREATER THAN the value we give R (right side of the distribution)

62
New cards

Normal RVs

knowt flashcard image
63
New cards

qnorm

fine the value that gives you a specific probability

<p>fine the value that gives you a specific probability</p>
64
New cards

pnorm

find a probability that a normal random variable is less than or greater than a value

65
New cards

Standard Normal Distribution

a special case of the normal distribution with a mean of 0 and a standard deviation of 1, represented by the letter Z

66
New cards

Standardization

normal probability re-written in terms of “how many standard deviations from the mean are we interested in?”

67
New cards

Z score

tells us how many standard deviations away from the mean an observation is

Explore top flashcards

322 Exam 1
Updated 991d ago
flashcards Flashcards (78)
abdomen
Updated 815d ago
flashcards Flashcards (29)
Exam 2 Top 300
Updated 620d ago
flashcards Flashcards (56)
25.1!!!
Updated 205d ago
flashcards Flashcards (23)
georgaphy
Updated 989d ago
flashcards Flashcards (42)
Theatre Post 1950
Updated 535d ago
flashcards Flashcards (32)
Substance Abuse
Updated 4d ago
flashcards Flashcards (41)
322 Exam 1
Updated 991d ago
flashcards Flashcards (78)
abdomen
Updated 815d ago
flashcards Flashcards (29)
Exam 2 Top 300
Updated 620d ago
flashcards Flashcards (56)
25.1!!!
Updated 205d ago
flashcards Flashcards (23)
georgaphy
Updated 989d ago
flashcards Flashcards (42)
Theatre Post 1950
Updated 535d ago
flashcards Flashcards (32)
Substance Abuse
Updated 4d ago
flashcards Flashcards (41)