1/76
Looks like no tags are added yet.
Name | Mastery | Learn | Test | Matching | Spaced | Call with Kai |
|---|
No analytics yet
Send a link to your students to track their progress
instantaneous rate of change
using the closest possible values
average rate of change
between certain bands or subtraction has to equal asked value

what does limit tell us
what it approaches
not the value
methods for solving limits (6)
direct substitution
algebraically
rationalize
squeeze theorem
graphically
complex functions
complex functions
multiply the denominator to make it easier
squeeze thereom

three types of discontinuity
hole
vertical asymptote
jump discontinuity
which discontinuities are removable and nonremovable
hole → removable
vertical asymptote → nonremovable
jump discontinuity → nonremovable
how to find discontinuities in a function
hole → factor cancels out
vertical asymptote → when the denominator =0
jump is not applicable
three conditions that must be met for continuity

three functions to know that must be restriction on domain
denominator
square roots
logarithms
denominator domain sign
not equal to
square root domain sign
>=
logarithm domain sign
>
hole of function

horizontal asymptote
look at the degree
degree is bigger on the bottom → ha is 0
degree is bigger on the top → no ha
degree is equal → cancel and look at constant
basically do the infinite limit
conditions for IVT

conclusion for IVT

instantaneous rate of change derivative

what is the derivative also known as
the slope of the tangent line
equation for the tangent line

a function is not differentiable when
discontinuous (hole, jump, VA)
corner or cusp
vertical tangent
relationship between differentiability and continuity
differentiability implies continuity but continuity does not imply differentiability (cause can have corner, cusp, vertical tangent)
inverse trig function derivatives (3)

trig inverse domain and range

when does horizontal tangent exist
dy/dx=0
numeration=0 if fraction
when does vertical tangent exist
derivative is undefined
denominator=0 if fraction
derivative of inverse function

normal line
opposite sign reciprocal of slope of tangent line
relationship between position, velocity, and acceleration
position → s(t)
velocity → s’(t)
acceleration → v’(t)=s’’(t)
v(t)>0
moving right, up, forward
v(t)<0
moving left, down, backward
v(t)=0
at rest and possibly changing directions
speeding up
velocity and acceleration same sign
slowing down
velocity and acceleration are opposite sign
concave up tangent line approximatino
under
concave down tangent line approximation
over
l’hopital’s rule






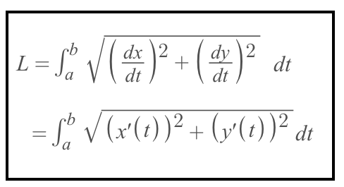
same as parametric
y’(t)/x’(t)






increasing → under
decreasing → over
increasing → over
decreasing → under
concave up → over
concave down → under