Organics

0.0(0)
Studied by 3 people
call kaiCall Kai
learnLearn
examPractice Test
spaced repetitionSpaced Repetition
heart puzzleMatch
flashcardsFlashcards
GameKnowt Play
Card Sorting

1/71

Last updated 4:36 PM on 6/1/23
Name
Mastery
Learn
Test
Matching
Spaced
Call with Kai

No analytics yet

Send a link to your students to track their progress

72 Terms

1
New cards
chiralité
proprieté geometrique d’un objet qui caracterise l’existence d’une difference entre l’objet et son image dans un miroir
2
New cards
objet chiral
un objet qui ne possede pas ni plan de symetrie, ni centre de symetrie
3
New cards
enantiomeres
images miroir non superposables
4
New cards
polarimetre
mesure la rotation du plan de polarisation d’un composée optiquement actif
5
New cards
levogyre
lecture avec polarimetre
lecture avec polarimetre
6
New cards
dextrogyre
lecture avec polarimetre
lecture avec polarimetre
7
New cards
index Merck
\
\
8
New cards
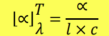
pouvoir rotatoire
knowt flashcard image
9
New cards
excès énantiomérique
knowt flashcard image
10
New cards
composé méso
composé ____ est stéréoisomère achiral d’un jeux de diastéréoisomères

composé ____ possède un nombre pair de centres asymétriques et un plan de symétrie
11
New cards
melange racemique
melange

excès énantiomérique = 0

50% R

50% S
12
New cards
homochiralité
lorsqu'il existe un seul énantiomère

phénomène inexpliqué

les propriétés biologiques des énantiomères diffèrent
13
New cards
conformeres
on peut passer d'une molécule à l'autre par rotation autour de liaisons simples, les molécules sont des stéréoisomères de conformation
14
New cards
rupture symetrique
energie de rupture homolytique
energie de rupture homolytique
15
New cards
radical
unee spece qui contient un atome ayant un e- non apparié
16
New cards
alcene terminal
type d'alcène
type d'alcène
17
New cards
alcene interne
type d'alcène
type d'alcène
18
New cards
polyenes
type d'alcène

plusieurs liaisons c=c
19
New cards
liaison pi
type de liaison

recouvert lateral de deux orbitales p
20
New cards
isomerie cis-trans
isomerie
isomerie
21
New cards
isomerie E-Z
isomerie
isomerie
22
New cards
etape lente
etape d’un reaction globale

barriere d'activation
23
New cards
postulat de Hammond
ce postulat indique que la structure d'un état de transition est semblable à celles des espèces les plus proches en termes d'énergie libre
24
New cards
hyperconjugaison
donation / interraction des electrons d'un liaison simple C-H avec une orbitale pi vide ou partiellement inoccupée sur un carbone adjacent
25
New cards
syn-addition
addition qui fait que les 2 molécules additionnées sont sur le même plan
26
New cards
physioabsorbtion
H sur Pd/C

H absorbe sur la surface du metal
27
New cards
reaction concertée
ET unique - toutes les liaisons se casse et se forme en meme temps => pas d'intermediaire
28
New cards
regle Markovnikov
Cette règle dit que le produit majoritaire est issu du carbocation le plus stable formé lors de l’étape cinétiquement déterminante de l’addition électrophile

Cette règle implique donc qu’ici, on formera le produit le plus substitué
29
New cards
forme limite
systemes conjuguees aromatiques

= forme mesomere
30
New cards
co-planiete
La conjugaison (et donc la stabilisation), est maximum lorsque les orbitales p (et/ou n) des atomes sont alignés. Cette condition implique la ________ des atomes mis en jeu dans la conjugaison
31
New cards
electronegativité
capacite d'un atome à attirer les electrons vers lui dans une liaison simple
32
New cards
effets inductifs
effets aromatiques

traduit le deplacement des electrons le long de la liaison sigma
33
New cards
inductif capteur
effets inductif

L’atome le plus électronégatif attire les électrons de la liaison σ
34
New cards
infuctif donneur
effects inductifs

L’atome le plus électropositif donne les électrons de la liaison σ
35
New cards
effets mesomeres
effets aromatiques

prends en compte l'electronegativité relative des atomes
36
New cards
mesomere donneur
effets mesomeres

des atomes porteurs de doublets non liants et reliés à une insaturation
37
New cards
mesomere capteur
Les groupes d’atomes portant des liaisons doubles (ou triple) carbone-hétéroatome ou hétéroatome-hétéroatome attirent les électrons par effet mésomère ______
38
New cards
benzene
prototype de la famille des composes aromatiques
39
New cards
regle de Hückel
permet de définir le critère d’aromaticité pour une molécule, ce qui correspond à un gain de stabilité

décrite un critère d’anti-aromaticité qui correspond à une déstabilisation globale des molécules qui obéissent à ce critère

\
systeme aromatique : 4n+2 electrons delocalisable dans le cycle

systeme anti-aromatique : 4n electrons delocalisable dans le cycle
40
New cards
orientation ortho
orientation composes aromatiques
orientation composes aromatiques
41
New cards
orientation meta
orientation composes aromatiques
orientation composes aromatiques
42
New cards
orientation para
orientation composes aromatiques
orientation composes aromatiques
43
New cards
nucleofuge
halogenures

groupe sortant dans une reaction

remplacé par nucleophile

est aussi un nucleophile
44
New cards
inversion de Walden
characteristique de reaction SN2

modification de la structure
45
New cards
regle de Saytzev
choix entre position de lien C=C \n alcène formé est le plus substitué
choix entre position de lien C=C  \n alcène formé est le plus substitué
46
New cards
transposition de Wagner Meerwein
un réarrangement 1,2 sur un carbocation au cours duquel un groupe alkyle ou aryle migre d'un carbone à un carbone voisin

fonctionne si le nouveau cation formé est plus stable que le précurseur
47
New cards
jones reagent
H2CrO4
48
New cards
oxide d’ethylene
knowt flashcard image
49
New cards
tetrahydrofuran
knowt flashcard image
50
New cards
1,4-dioxane
knowt flashcard image
51
New cards
reactifs de Grignard
RMgBr
52
New cards
rearrangement de Hoffman
une réaction organique qui transforme un amide primaire non substitué en amine primaire avec une chaine carbonée plus courte d'un atome
53
New cards
rearrangement de Curtius
une réaction chimique dans laquelle un azoture d'acyle se réarrange en isocyanate
54
New cards
tautomeres
équilibre pour les carbonyls entre leurs formes céto & énol

composés à l'equilibre qui ne diffèrent que par la position d'un proton
55
New cards
ester malonique
knowt flashcard image
56
New cards
pyridine
knowt flashcard image
57
New cards
pyrrole
knowt flashcard image
58
New cards
quinoline
knowt flashcard image
59
New cards
imidazole
knowt flashcard image
60
New cards
indole
knowt flashcard image
61
New cards
pyrimidine
knowt flashcard image
62
New cards
pyrrolidine
knowt flashcard image
63
New cards
piperidine
knowt flashcard image
64
New cards
porphyrin
knowt flashcard image
65
New cards
aldoses/cetoses
classification des glucides
66
New cards
projections Fischer
dessiner les glucides lineaires

groupes horizontaux sortent vers nous
67
New cards
sucres D
projection de Fischer → dernier centre chiraux R
68
New cards
sucres L
projection de Fischer → dernier centre chiraux S
69
New cards
sucre alpha
glucides:

OH d'un côté de O dans le cycle est du côté opposé de la chaîne carbonée de l'autre côté de O dans le cycle
70
New cards
reactif de Tollens
reactif

Ag2O
71
New cards
groupes protecteurs
\
modification chimique d'un molécule qui empeche les réactions secondaires indésirables & qui peut etre facilement eliminé dans des conditions specifiques
72
New cards
synthese en phase solide
méthode courament utilisée pour la synthese de longs peptides

une extrémité de peptide est ancré à un support solide insoluble

après chaque étape le support peut etre lavé pour eliminer les impuretés

produit attaché au support jusqu'à la fin de la synthèse

Explore top notes

Explore top flashcards

flashcards
Bio Chapter 1 Test
93
Updated 572d ago
0.0(0)
flashcards
A&P Chapter 12.
101
Updated 842d ago
0.0(0)
flashcards
Español Dos Study Guide
22
Updated 1058d ago
0.0(0)
flashcards
PSY 3113 Chapter 2
45
Updated 903d ago
0.0(0)
flashcards
Python 221 Terms
63
Updated 857d ago
0.0(0)
flashcards
Vocabulary & Spelling 2.3
20
Updated 484d ago
0.0(0)
flashcards
Bio Chapter 1 Test
93
Updated 572d ago
0.0(0)
flashcards
A&P Chapter 12.
101
Updated 842d ago
0.0(0)
flashcards
Español Dos Study Guide
22
Updated 1058d ago
0.0(0)
flashcards
PSY 3113 Chapter 2
45
Updated 903d ago
0.0(0)
flashcards
Python 221 Terms
63
Updated 857d ago
0.0(0)
flashcards
Vocabulary & Spelling 2.3
20
Updated 484d ago
0.0(0)