WEEK 4: MEASURES OF CENTRAL TENDENCY

0.0(0)
studied byStudied by 0 people
full-widthCall with Kai
GameKnowt Play
learnLearn
examPractice Test
spaced repetitionSpaced Repetition
heart puzzleMatch
flashcardsFlashcards
Card Sorting

1/22

encourage image

There's no tags or description

Looks like no tags are added yet.

Study Analytics
Name
Mastery
Learn
Test
Matching
Spaced

No study sessions yet.

23 Terms

1
New cards

This refers to the center of the distribution of observations

Measures of Central Tendency

2
New cards

What are the 3 common measures of central tendency?

  1. Mean

  2. Median

  3. Mode

3
New cards
term image

Population Mean

4
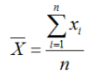
New cards
term image

Sample Mean

5
New cards

Mean is also known as?

Average

6
New cards
  • This is sensitive to extreme observations

  • Involves all observations in its computation

  • Any change in the observation will change the mean value 

  • Quantitative 

  • The sum should always be zero because it is the point of balance

Mean

7
New cards
  • This is the middle most value in a set of observations put in an array

  • Not influenced by outliers

  • Always exists and unique

  • Can be used for qualitative and quantitative  

Median

8
New cards
term image

Median

9
New cards

TRUE OR FALSE:

If the median is odd, we pick the middle most observation 

TRUE 

10
New cards

TRUE OR FALSE:

If the median is even, get the mean of the 2 middlemost observations 

TRUE 

11
New cards
  • Most frequently occurring value in a set of observation

  • An observation can have none of this, unimodal, bimodal, or multimodal 

  • No calculations are needed

  • Determined for any type of variable 

Mode

12
New cards

What are the 3 common measures of dispersion?

  1. Range

  2. Variance

  3. Standard Deviation 

  4. Coefficient Variation 

13
New cards
  • Gives information as a tendency of values to clump together tools describing the variability of the observations 

  • Can be homogeneous or heterogeneous 

  • For qualitative variables only 

Measures of Dispersion

14
New cards
  • Simplest measure of location

  • Does not tell anything about the observation between these two extreme observations 

  • May be used for quantitative variables 

Range

15
New cards
term image

Range

16
New cards
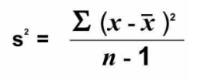
term image

Variance

17
New cards
  • This is the measure of variability that takes the mean as the reference point

  • Involves all observations

  • Hard to interpret 

  • Unit squared of the original set of observations after subtracting it to the mean 

Variance

18
New cards
  • This expresses the SD as percentage of mean

  • Most appropriate when the measurement of variables are different and there are 2 or more variables 

Coefficient Variation

19
New cards
term image

Coefficient Variation 

20
New cards

HOMOGENOUS OR HETEROGENOUS:

When the measure of dispersion is low or small 

HOMOGENEOUS 

21
New cards

HOMOGENOUS OR HETEROGENOUS:

When the measure of dispersion is high or large

HETEROGENOUS

22
New cards
  • Determines the location/position of particular value in an array of distribution 

  • Provide more details about a part of the entire distribution of observations in a give data 

  • Use for quali and quanti 

Measures of Location

23
New cards

What are the most common measures of location?

  1. Quartiles

  2. Deciles

  3. Percentiles