1/120
Looks like no tags are added yet.
Name | Mastery | Learn | Test | Matching | Spaced | Call with Kai |
|---|
No analytics yet
Send a link to your students to track their progress
Statistics
A way of learning from data
Concerned with all elements of study design, data collection, and analysis of numerical data
Requires judgement
Biostatistics
Statistics applied to biological and health problems
Data Judges
Judge and confirm clue
Use statistical inference
Data Detectives
Uncover patterns and clues
Use exploratory data analysis and descriptive statistics
Goals of Biostatistics
Improvement of the intellectual content of data
Organization of data into understandable forms
Reliance of tests of experience as a standard of validity
Data Collection Form
Observation:
Unit upon which measurements are made, can be individual or aggregate
Variable:
The generic thing we measure
Examples: Age, HIV status
Value:
A realized measurement
Examples: “27”, “positive”
Data Table
Each row corresponds to an observation
Each column contains information on a variable
Each cell in the table contains a value
Data Dictionary

Types of Measurements
The assigning of numbers and codes according to prior-set rules.
Categorical - Nominal
No implied order of categories
E.g., Race, sex, colors
Categorical - Ordinal
Categories can be placed in some order
E.g., Likert Scales (Strongly agree, agree, no opinion, disagree, strongly disagree)
Numerical - Discrete
Counts or whole numbers
E.g., number of patients, number of children in a family.
Numerical - Continuous
Can take on any value within a range
E.g., height, weight, temperature
Population vs. Sample
Saves time
Saves money
Allows resources to be devoted to greater scope and accuracy
Sampling Methods

Precision - Imprecision
Inability to be replicated
Precision - Bias
Tendency to overestimate or underestimate the true value of an object.
Many different types of biases exist, below are a few examples
Selection Bias
Detection Bias
Omitted Variable Bias
Attrition Bias
Non-Response Bias
Response Bias
Symmetry
Degree to which shape reflects a mirror image of itself around its center

Modality
Number of peaks
Kurtosis
Steepness of the mound (width of tails)

Departures
Outliers
Skew Example

Two examples of chart

Arithmetic Average (Mean)
Gravitational Center
Median
Middle Value
EXAMPLE - order the data from lowest to highest
5 11 21 24 27 28 30 42 50 52
The median has a depth of (n + 1) ÷ 2 on the ordered array
When n is even, average the points adjacent to this depth
For illustrative data: n = 10, median’s depth = (10+1) ÷ 2 = 5.5
The median falls between 27 and 28
What is included in the spread?
Range
Inter-Quartile Range
Standard Deviation
Variance
Range
Minimum to maximum
The easiest but not the best way to describe spread (e.g., standard deviation, etc.)
The range is “from 5 to 52”
5 11 21 24 27 28 30 42 50 52
Frequency Table
Frequency
Count
Relative Frequency
Proportion or %
Cumulative Frequency
% less than or equal to level
When data are sparse, group data into class intervals
Create 4 to 12 class intervals
Classes can be uniform or non-uniform (TRY TO KEEP IT UNIFORM!)
End point convention: e.g., first class interval of 0 to 10 will include 0 but exclude 10 (0 to 9.99)
Talley frequencies
Calculate relative frequency
Calculate cumulative frequency

Frequency Table Example #1
Uniform class intervals table (width 10) for data:
05, 11, 21, 24, 27, 28, 30, 42, 50, 52
Create a Frequency Table

Histogram
A histogram is a frequency chart for a quantitative measurement
Notice how the bars touch

Bar Chart
A bar chart with non-touching bars is reserved for categorical measurements
Pie Chart

Summary statistics
Central Location
Mean
Median
Mode
Spread
Range and interquartile range (IQR)
Variance and standard deviation
Shape
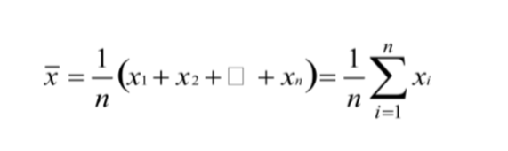
Notation
n = sample size
X = the variable (e.g., ages of subjects)
xi = the value of individual i for variable X
Σ = sum all values (capital sigma)
Example (ages of participants):
21 42 5 11 30 50 28 27 54 52
n = 10
X = AGE variable
x1 = 21, x2 = 42, ..., x10 = 52
Σxi = x1 + x2 + ... + x10 = 21 + 42 + ... + 52 = 290
Central Location (Sample Mean)
“Arithmetic Average”
Traditional Measure of Central Location
Sum the values and divide by n
X refers to the sample mean

Central Location (Sample Mean) EXAMPLE

The mean is the balancing point of a distribution
gravitational center
Susceptible to skews
Can be used to predict…
Randomly values from sample
Random values from population
Population mean
Central Location (Median)
Order the data from lowest to highest
5 11 21 24 27 28 30 42 50 52
The median has a depth of (n + 1) ÷ 2 on the ordered array
When n is even, average the points adjacent to this depth
For illustrative data: n = 10, median’s depth = (10+1) ÷ 2 = 5.5
The median falls between 27 and 28. Median = 27.5
The median is more resistant to skews and outliers than the mean; it is more robust.
It is less impacted by skewness and outliers.
1362 1439 1460 1614 1666 1792 1867
Mean = 1636
Median = 1614
1362 1439 1460 1614 1666 1792 9867
Mean = 2743
Median = 1614
Central Location (Mode)
The mode is the most commonly encountered value in the dataset
This data set has a mode of 7
{4, 7, 7, 7, 8, 8, 9}
This data set has no mode
{4, 6, 7, 8}
The mode is useful only in large data sets with repeating values
Effect of a Skew on the Mean, Median, and Mode:

Note how the mean gets pulled toward the longer tail more than the median
mean = median → symmetrical distribution
mean > median → positive skew
mean < median → negative skew
Spread
Two distributions can be quite different yet can have the same mean.
This data compares particulate matter in air samples (μg/m3) at two sites.
Both sites have a mean of 36, but Site 1 exhibits much greater variability.
We would miss the high pollution days if we relied solely on the mean.

Spread (Range)
Range
Maximum – minimum
Site 1 range is from 22 to 68 (range of 46)
Site 2 range is from 32 to 40 (range of 8)
Beware: the sample range will tend to underestimate the population range.
Always supplement the range with at least one addition measure of spread

Spread (Quartiles)
Quartile 1 (Q1):
Cuts off bottom quarter of data
Median of the lower half of the data set
Quartile 3 (Q3)
Cuts off top quarter of data
Median of the upper half of the data set
Interquartile Range (IQR)
Q3 – Q1
Covers the middle 50% of the distribution

Spread (Quartiles) - Example
You are given a SRS of metabolic rates (cal/day), n = 7
1362 1439 1460 1614 1666 1792 1867
When n is odd, include the median in both halves of the data set.
Bottom half: 1362 1439 1460 1614
Median = 1449.5 (Q1)
Top half: 1614 1666 1792 1867
Median = 1729 (Q3)
Five Point Summary
Q0 (the minimum)
Q1 (25th percentile)
Q2 (median)
Q3 (75th percentile)
Q4 (the maximum)
Standard Deviation
Most common descriptive measures of spread
Based on deviations around the mean
Standard Deviation EXAMPLE
This data set has a mean of 36.

FORMULAS

Example of using the formulas

Sample -> Population

68-95-99.7 Rule

68-95-99.7 RULE (Example)

Chebyshev’s Rule
ALL Distributions
Chebychev’s rule says that at least 75% of the values will fall in the range μ ± 2σ.
Example:
A distribution with μ = 30 and σ = 10 has at least 75% of the values in the range 30 ± (2)(10) = 10 to 50
Surveys
Describe population characteristics
Example
A study of the prevalence of hypertension in a population
Comparative Studies
Determine relationships between variables
Example
A study to address whether weight gain causes hypertension
Outline of Studies

Comparative Studies
Comparative designs study the relationship between an explanatory variable and response variable.
Example:
The first test you decide not to study and you get a C+.
The second test you decide to study and get an A.
Explanatory
What you do to cause change.
Response
What you’re hoping to change.

Comparative Studies - Experimental
Investigators assign the subjects to groups
Comparative Studies - Observational
Investigator does not assign the subjects to groups
Comparative Study Comparison
In the experimental design, the investigators controlled who was and who was not exposed.
In the non-experimental design, the study subjects (or their physicians) decided on whether or not subjects were exposed
Experimental Principles
Controlled comparison
randomized
replication
Controlled Trial
Control Group = Non-exposed.
You can’t know how a treatment causes change without comparing it to someone who didn’t take the treatment.
You won’t know if studying before an exam helps without first not studying for it.
You cannot judge effects of a treatment without a control group because:
Many factors contribute to a response
Conditions change on their own over time
The placebo effect and other passive intervention effects are operative
Randomization
Refers to randomly putting people into treatment groups.
Balances lurking variables among treatments groups, mitigating their potentially confounding effects
Replication
The results of a study conducted on a larger number of cases are generally more reliable than smaller studies
Ethics Outline
Informed Consent
Beneficence
Equipoise
Institutional Review Board
Additional Ethical Principles
Informed Consent
Biostatisticians should obtain informed consent from research participants before collecting data. Informed consent involves providing participants with information about the study, including its purpose, procedures, risks, and benefits, and obtaining their voluntary agreement to participate.
Beneficence
Biostatisticians should maximize benefits and minimize harms to research participants and society. This principle involves ensuring that research is conducted in a way that promotes the well-being of participants and society.
Equipoise
Biostatisticians should ensure that the research question is scientifically valid and that the study design is appropriate to answer the question. This principle involves ensuring that the study is designed in a way that minimizes bias and confounding.
Institutional Review Board
Biostatisticians should work with IRBs to ensure that research is conducted in an ethical manner. IRBs are responsible for reviewing research proposals to ensure that they meet ethical standards and that the rights and welfare of research participants are protected.
Additional Ethical Principles
Integrity of data and methods
Responsibilities to stakeholders
Responsibilities to research subjects, data subjects, or those directly affected by statistical practices
Normal Distributions
Continuous random variables are described with smooth probability density functions (pdfs)
Normal pdfs are recognized by their familiar bell-shape
Example: Age distribution of a pediatric population
Parameters μ and σ
Normal pdfs are a family of distributions
Family members identified by parameters μ (mean)and σ (standard deviation)
μ controls location

σ controls spread

68-95-99.7 Rule
Normal Distribution
68% of data in the range μ ± σ
95% of data in the range μ ± 2σ
99.7% of data the range μ ± 3σ

Reexpression of Non-Normal Variables
Many variables are not Normal
We can re-express non-Normal variables with a mathematical transformation to make them more Normal
Example of mathematical transforms include logarithms, exponents, square roots, and so on.
Logarithms
Logarithms are exponents of their base
There are two main logarithmic bases
common log10
(base 10)
natural ln
(base e)

Landmarks
log10(1) = 0
(because 100 = 1)
log10(10) = 1
(because 101 = 10)
Statistical inference
The act of generalizing from a sample to a population with calculated degree of certainty

Population
Represents everyone
Mean → μ
Standard Deviation → σ
Sample
A subset of the population
Mean → x ̅ (x-bar)
Standard Deviation → s
Sampling Behavior of A Mean
How precisely does a given sample mean reflect the underlying population mean?
To answer this question, we must establish the sampling distribution of x-bar
The sampling distribution of x ̅ is the hypothetical distribution of means from all possible samples of size n taken from the same population
Finding 1 (central limit theorem)
The sampling distribution of x-bar tends toward Normality even when the population distribution is not Normal. This effect is strong in large samples.
Finding 2 (unbiasedness)
The expected value of x-bar is μ
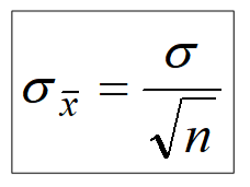
Finding 3 (square root law)

Standard Deviation (Error) of the Mean
The standard deviation of the sampling distribution of the mean has a special name: it is called the “standard error of the mean” (SE)
The square root law says the SE is inversely proportional to the square root of the sample size:
What do you think would happen if we increase our sample size?
Our SE or standard error of the mean would go down!
As, ↑n → ↓σ

Law of Large Numbers
As a sample gets larger and larger, the sample mean tends to get closer and closer to the μ
This tendency is known as the Law of Large Numbers
Statistical Inference
Generalizing from a sample to a population with calculated degree of certainty
Two forms of statistical inference
Hypothesis testing
Estimation
Introduction to Hypothesis Testing:
Hypothesis testing is also called significance testing
The objective of hypothesis testing is to test claims about parameters
For example, does a clinical study of a new cholesterol-lowering drug provide robust evidence of a beneficial effect in patients at risk for heart disease.
A drug is considered to have a beneficial effect on a population of patients if the population average effect is large enough to be clinically important. It is also necessary to evaluate the strength of the evidence that a drug is effective; in other words, is the observed effect larger than would be expected from chance variation alone?
A method for calculating the probability of making a specific observation under a working hypothesis, called the null hypothesis.
By assuming that the data come from a distribution specified by the null hypothesis, it is possible to calculate the likelihood of observing a value.
If the chances of such an extreme observation are small, there is enough evidence to reject the null hypothesis in favor of an alternative hypothesis.
Hypothesis Testing Steps
Formulating null and alternative hypotheses
Specifying a significance level (α)
Calculating the test statistic
Calculating the p-value
Drawing a conclusion
Null and Alternative Hypothesis
The null hypothesis (H0) often represents either a skeptical perspective or a claim to be tested.
The alternative hypothesis (HA) is an alternative claim and is often represented by a range of possible parameter values.
The logic behind rejecting or failing to reject the null hypothesis is similar to the principle of presumption of innocence in many legal systems. In the United States, a defendant is assumed innocent until proven guilty; a verdict of guilty is only returned if it has been established beyond a reasonable doubt that the defendant is not innocent. In the formal approach to hypothesis testing, the null hypothesis (H0) is not rejected unless the evidence contradicting it is so strong that the only reasonable conclusion is to reject H0 in favor of HA.
two-sided alternative.
The alternative hypothesis HA : μ ≠ 0 is called a two-sided alternative.
Specifying a Significance Level (a)
It is important to specify how rare or unlikely an event must be in order to represent sufficient evidence against the null hypothesis. This should be done during the design phase of a study, to prevent any bias that could result from defining ’rare’ only after analyzing the results.
When testing a statistical hypothesis, an investigator specifies a significance level, α, that defines a ’rare’ event. Typically, α is chosen to be 0.05, though it may be larger or smaller, depending on context
Calculating the Test Statistic
The test statistic quantifies the number of standard deviations between the sample mean x ̅ and the population mean μ.
The perfect Normal distribution has a mean of 0 (μ = 0) and a standard deviation of 1 (σ = 1).
If your data’s distribution does not match these parameters exactly, then you need to standardize to make it fit. Different standardization formulas exist depending on the specific statistical analysis that is being conducting.
For example, a one sample t-test, the following formula would be used:
t=(x ̅-μ_0)/(s∕√n)
s represents the sample standard deviation and n represents the number of observations in the sample.
Calculating the P-Value
The p-value is the probability of observing a sample mean as or more extreme than the observed value, under the assumption that the null hypothesis is true.
The p-value can either be calculated from software or from the normal probability tables. For the weight-difference example, the p-value is vanishingly small:

Drawing a Conclusion
To reach a conclusion about the null hypothesis, directly compare p and α. Note that for a conclusion to be informative, it must be presented in the context of the original question; it is not useful to only state whether or not H0 is rejected.
If p > α, the observed sample mean is not extreme enough to warrant rejecting H0; more formally stated, there is insufficient evidence to reject H0.
A high p-value suggests that the difference between the observed sample mean and μ0 can reasonably be attributed to random chance.
If p ≤ α, there is sufficient evidence to reject H0 and accept HA.
Thus, the data support the conclusion that on average, the difference between actual and desired weight is not 0 and is positive; people generally seem to feel they are overweight.