1/23
Looks like no tags are added yet.
Name | Mastery | Learn | Test | Matching | Spaced |
|---|
No study sessions yet.
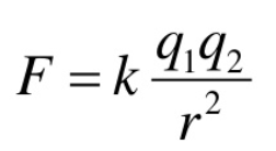
Coulomb’s Law

Electric Field

Electric Field of a Point Charge

Flux Calculation

Electric Potential Energy for Two Point Charges

Units of Electric Potential
Volt
Volts are Equal To… ?
K times the sum of the individual charges divided by the individual distances

Definition of Capacitance

Electric Field Between Plates of a Cylindrical Capacitor

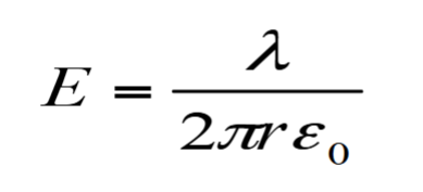
Voltage (potential) between plates of a Cylindrical Capacitor

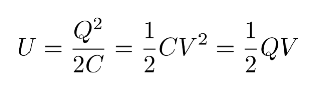
Energy Stored in a Capacitor

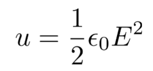
Electric Field Density in a Vacuum

Flux of a Circular Disk in a Uniform Electric Field
the field (E) multiplied by the area of the disk (πr²) multiplied by the angle between the field and the disk (if disk’s axis is aligned parallel with the field the angle is cos(180))

Field of an Infinite Sheet of Charge (of surface charge density σ)

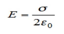
Electric Field at the Surface of a Conductor

When finding capacitance of a capacitor with two plates, what equation should you use?

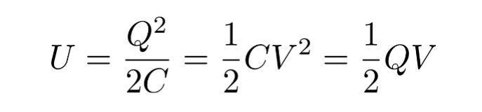
When solving for the stored energy in a capacitor, what equation should you use?

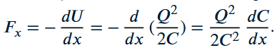
When finding the force on a dielectric in a capacitor of constant charge Q, what equation should you use?

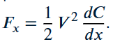
When finding the force on a dielectric in a capacitor of constant voltage V, what equation should you use?

What is the equivalent capacitance of capacitors in series?

What is the equivalent capacitance of capacitors in parallel?

the force on a point charge by a large surface

What is K equal to?
9×10^9
What is ε₀ equal to?
8.854×10^-12