1/22
Looks like no tags are added yet.
Name | Mastery | Learn | Test | Matching | Spaced |
|---|
No study sessions yet.






Proof vs Show
Proof= Using LHS AND RHS (solve both simultaneously in order to prove that they are equal to eachother or not depends on question)
Show= LHS only or RHS only. Don’t use both.
Even =
Odd =


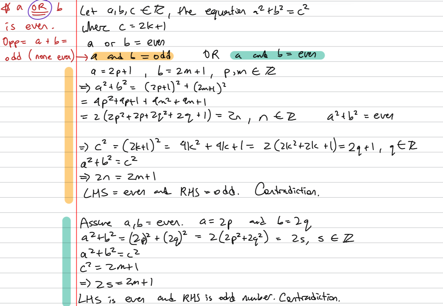
Prove by contradiction


Prove by contradiction


Prove by contradiction


Prove by contradiction

What is the contradition of this:
(…) is odd then n is even
(….) AND n are both odd because after is smt = statement (don’t change) and after then is assumption(that will be contradicted)
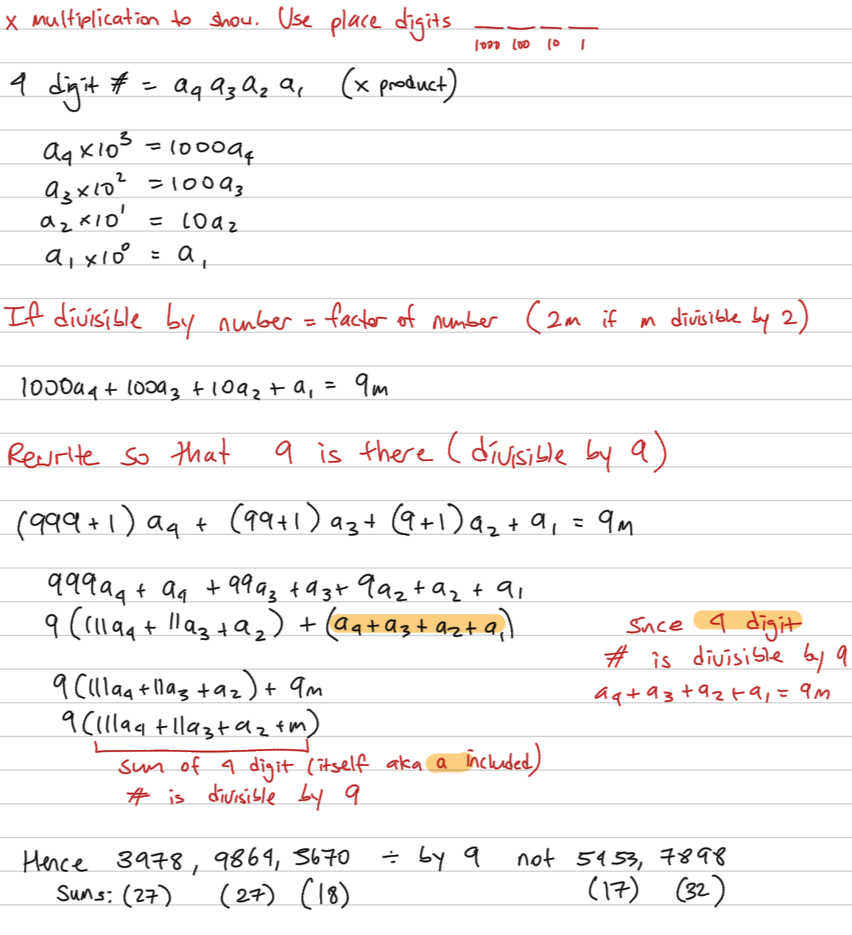
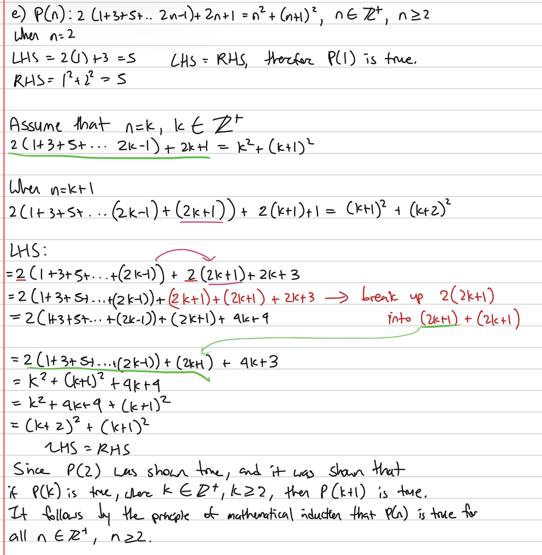
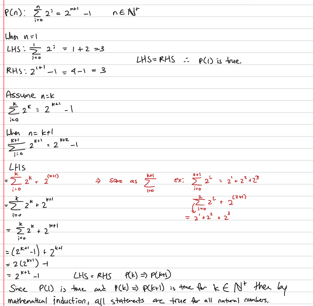
How to write inductions
Basis: plug in n=0,1,2 depends. Simple whole number
Induction: Assume true n=k and show true for n=k+1(add 1 in order to show it does work for other numebrs) and plug in k+1 to show that LHS is RHS
Write the format of induction


Show by induction


Show by induction part e


Prove by induction







Product/sum of two consecutive integers is always?
Product= even
Sum= Odd





