1/6
Looks like no tags are added yet.
Name | Mastery | Learn | Test | Matching | Spaced | Call with Kai |
|---|
No analytics yet
Send a link to your students to track their progress
What is the equation for resolution of two peaks?

Where tR is the retention time and W is the width of the peak at its base.
RS > 1.5 for fully resolved peaks.

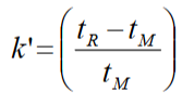
What is the capacity factor (k’) equation?

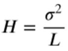
What is the relationship between H, L and σ?

σ is the standard deviation in length units
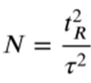
What is the relationship between N, tR and τ?

Where τ is the standard deviation in time units and N is the efficiency.
What is the relationship between N, L and σ?

Where N is the efficiency and σ is the standard deviation in length units.
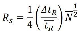
What is the equation for resolution of a peak in terms of efficiency?

What is the van Deemter equation and what are the components?
H = A + B/u + Cu
A: multiple flow paths
B: longitudinal diffusion
C: Mass transfer/equilibration time