1/3
Looks like no tags are added yet.
Name | Mastery | Learn | Test | Matching | Spaced | Call with Kai |
|---|
No analytics yet
Send a link to your students to track their progress

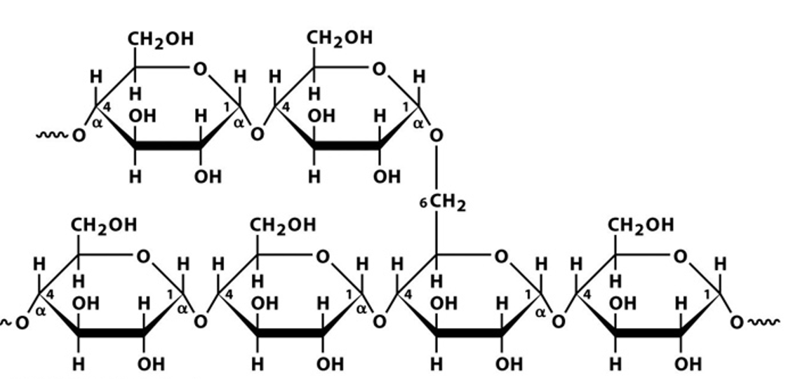
What polysaccharide is this
Glycogen
Monosaccharide: Glucose
Linkage: Alpha 1,4 and Alpha 1,6
Occurence: Liver and muscles
Function: energy storage in animals and humans

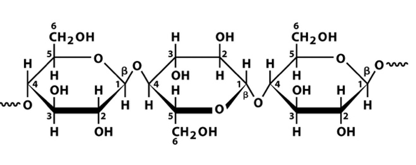
What polysaccharide is this
Cellulose (alternating O bond between monosaccharide)
Monosaccharide: Glucose
Linkage: Beta 1,4 glycosidic
Occurence: Cell wall of plants
Function: structure in plants

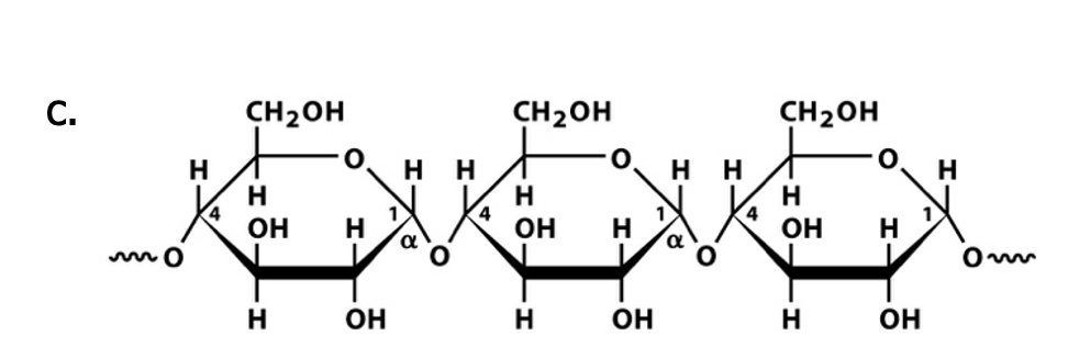
What polysaccharide is this?
Starch
Monosaccharide: glucose
Linkage: Alpha 1,4
Occurence: Plant seeds
Function: energy storage in plants

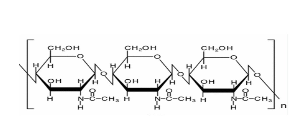
What polysaccharide is this?
Chitin
Monosacchride: N-acetylglucosamine
Linkage: Beta 1,4
Occurence: exoskeletons of anthropods
Function: provide structure and strong surface