1/56
Looks like no tags are added yet.
Name | Mastery | Learn | Test | Matching | Spaced | Call with Kai |
|---|
No analytics yet
Send a link to your students to track their progress
What Drug can be used to oppose histamine Bronchoconstriction
Epinephrine
Which Drug( s) inhibit the release of histamine?
Cromolyn AND Nedocromil
H1 receptor antagonist are ___________ blockers or _______ agonist to the H1 receptor
Competitive; Inverse
T/ F Antihistamines antangonize bronchiolar constriction from leukotrienes and histamine
F
T/F Antihistamines are efficaous enough to treat asthma attacks
F; they act too slow

List the First Generation Antihistamines that derive from the chemical class Ethanol-amines
DIphendydramine- Benadryl
Clemastine - Tavist

List the First Generation Antihistamines that derive from the chemical class Ethelenediamine
Tripelennamine
List the First Generation Antihistamines that derive from the chemical class Alkylamine
Chloropheniramine - Chlorotrimeton
List the First Generation Antihistamines that derive from the chemical class Phenothiazine
Promethazine -Phenergan
List the First Generation Antihistamines that derive from the chemical class Piperazine
Hydroxyzine -Vistaril
Cyclizine- Antivert
The active metabolite of Hydroxiyzine is _________
Certrizine
The active metabolite of loratadine is__________
Desloratadine
T/F First generation H1 antagonist can stimulate and depress the CNS
T
List Sedative H1 antagonists
Promethazine ( Phenergan)
Diphenhydramine ( Benadryl)
List anti-nausea antihistamines
Doxylamine
Promethazine
Scopolamine
List antiparkinson antihistamine
Which subgroups of the first generation antihistamines have anti-muscarinic effects , list the drugs within both the groups.
What’s the drug with the strongest of the effects?
Ethanolamine:
Diphenhydramine, Clemastine
Ethylenediamine:
Tripelenamine,
Promethazine is the strongest
Which drugs have a significant atropine effect?
The same that have antimuscrinic effects. Study those
List H1 antagonist that demonstrate alpha -receptor blacking effects
Drugs Within the Phenothiazine Group
Promethazine
Antihistamines within the __________ subgroup can cause orthostatic hypotension in susceptible individuals.
Phenothiazine
List the H1 antihistamine with serotonin- blocking actions.
Cyproheptadine
List H1 antagonist that have local anesthetic effects
Promethazine
Dimenhydrinate
Many _______ generation H1 antagonist exhibit mast-cell stabilizing effects.
2nd
List the antihistamine approved for Rhinorrhea
Clemastine
List the antihistamine approved for allergic dermatoses
Diphenhydramine
List the two main indications that 2nd generation H1 antagonists treat
Allergic Rhinits
Chronic Uticaria
List the antihistamine MOST EFFECTIVE for the prevention of motion sickness
Dimenhydrinate
Name the antihistamine that is used to treat MORNING SICKNESS
Doxylamine
WHat the four manifestations to Anticholinergic drugs
Dry mouth, Constipation, Blurred Vision, and urinary retention
T/F 2nd generation H1 antagonists have poor affinity for muscarinic cholinoceptor
T
Lost the two reasons 2nd generation H1 antagonist reduce the occurrence of sedation
Lipophobicity
They’re substrates of P-glycoprotein, keeping them from the BBB and staying plasma
T/F 2nd generation. Antihistamines have the same efficacy as 1rst generation
T
T/ F 2nd generation antihistamines are highly selective to H1 receptors
T
_____________ is the safe metabolite of Terfenadine. What the brand name?
Fexofenadine; Allegra
This anithistmine is used to treat hay fever ( allergic rhinitis)
Allegra
Claritin and Clarinex derive from _________
Azatadine
Which Antihistamine is used to treat rash/hives? What’s the Brand Name(s)
Cetirizine( Zyrtec) and Levocetirizine(XYZAL)
Zyrtec and XYZAL derive from ________
Hyroxyzine
__________ is the main 2nd generation H1 antagonist that has sedative effects
Zyrtec ( Cetirizine)
Out of all the 2 generations derived from Hydroxyzine _________ is the most potent
Levocetirizine
Generic for Semprex- D
Acrivastine
Which anithistamine increases appetite
Antiserotinin agents; Cyproheptadine
Which antihistamines are treated for migraines ?
Cyrpoheptadine
Ergotamine
Diphenhydramine
Which antihistamines are treated for Nausea ad Motion Sickness?
Dimenhydrinate ( salt of diphenhydramine
Diphenhydramine
Cyclizine
Meclizine
Promethazine
Which antihistamines are treated for Insomnia
Diphenhydramine, Promethazine, Pyrilamine
Which antihistamines are treated for General itching
Hydroxyzine, Doxepin.

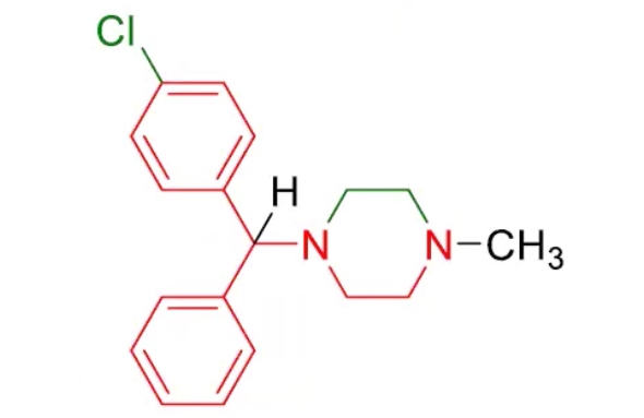
Look at this Structure and describe its properties.
Name (Generic/Brand):
Chemical Class:
Mechanical Class:
Primary Therapeutic effect:
Generation:
Special Considerations:

Look at this Structure and describe its properties.
Name (Generic/Brand):
Chemical Class:
Mechanical Class:
Primary Therapeutic effect:
Generation:
Special Considerations:

Look at this Structure and describe its properties.
Name (Generic/Brand):
Chemical Class:
Mechanical Class:
Primary Therapeutic effect:
Generation:
Special Considerations:

Look at this Structure and describe its properties.
Name (Generic/Brand):
Chemical Class:
Mechanical Class:
Primary Therapeutic effect:
Generation:
Special Considerations:

Look at this Structure and describe its properties.
Name (Generic/Brand):
Chemical Class:
Mechanical Class:
Primary Therapeutic effect:
Generation:
Special Considerations:

Look at this Structure and describe its properties.
Name (Generic/Brand):
Chemical Class:
Mechanical Class:
Primary Therapeutic effect:
Generation:
Special Considerations:

Look at this Structure and describe its properties.
Name (Generic/Brand):
Chemical Class:
Mechanical Class:
Primary Therapeutic effect:
Generation:
Special Considerations:

Look at this Structure and describe its properties.
Name (Generic/Brand):
Chemical Class:
Mechanical Class:
Primary Therapeutic effect:
Generation:
Special Considerations:

Look at this Structure and describe its properties.
Name (Generic/Brand):
Chemical Class:
Mechanical Class:
Primary Therapeutic effect:
Generation:
Special Considerations:

Look at this Structure and describe its properties.
Name (Generic/Brand):
Chemical Class:
Mechanical Class:
Primary Therapeutic effect:
Generation:
Special Considerations: