convergence test

0.0(0)
studied byStudied by 0 people
0.0(0)
full-widthCall with Kai
GameKnowt Play
New
learnLearn
examPractice Test
spaced repetitionSpaced Repetition
heart puzzleMatch
flashcardsFlashcards
Card Sorting

1/27

encourage image

There's no tags or description

Looks like no tags are added yet.

Study Analytics
Name
Mastery
Learn
Test
Matching
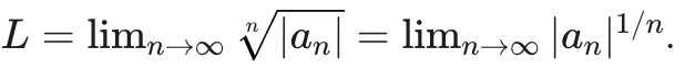
Spaced

No study sessions yet.

28 Terms

1
New cards

test for divergence (tfd)

<p></p>
2
New cards

L doesn’t equal 0

tfd diverges

3
New cards

geometric series test

knowt flashcard image
4
New cards

geometric series converges

<p></p>
5
New cards

geometric series diverges

knowt flashcard image
6
New cards

p-series test

knowt flashcard image
7
New cards

p-series converges

knowt flashcard image
8
New cards

p-series diverges

knowt flashcard image
9
New cards

integral test

knowt flashcard image
10
New cards

positive, continuous, decreasing

integral test conditions

11
New cards

integral test converges

finite integral

12
New cards

integral test diverges

-infinity and +infinity

13
New cards

direct comparison test (dct)

knowt flashcard image
14
New cards

dct converges

knowt flashcard image
15
New cards

dct diverges

knowt flashcard image
16
New cards

limit comparison test (lct)

knowt flashcard image
17
New cards

lct converges

p > 1

18
New cards

lct diverges

p < 1

19
New cards

ratio test

knowt flashcard image
20
New cards

ratio test converges

L > 1

21
New cards

ratio test diverges

L < 1 or

L = infinity

22
New cards

ratio test inconclusive

L = 1

23
New cards

root test

knowt flashcard image
24
New cards

root test converges

L < 1

25
New cards

root test diverges

L > 1 or

L = infinity

26
New cards

root test inconclusive 

L = 1

27
New cards

alternating series test (ast)

knowt flashcard image
28
New cards

ast converges

terms are decreasing, limit = 0