1/15
Looks like no tags are added yet.
Name | Mastery | Learn | Test | Matching | Spaced | Call with Kai |
|---|
No study sessions yet.
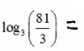
Quotient property of logarithms


What does it equal?

Power property of logarithms
Argument’s exponent brought to the front to be multiplied by everything else



Product property of logarithms




Simplify


What are the 3 rules/properties applied to get the solution. Solve

For expansion and compression which order of properties do you use for each?
For expansion
Quotient property of logarithms
Product property of logarithms
Power property of logarithms
Inverse order for each
For compression
Power property of logarithms
Product property of logarithms
Quotient property of logarithms

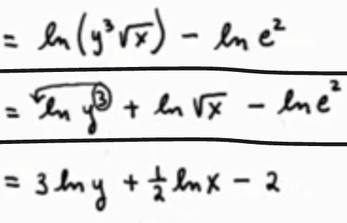
Expansion:
Solve and state each property, but only look at the answers 1 line at a time as you answer. Solve one property at a time while checking answers.
Quotient property of logarithms
Product property of logarithms
Power property of logarithms


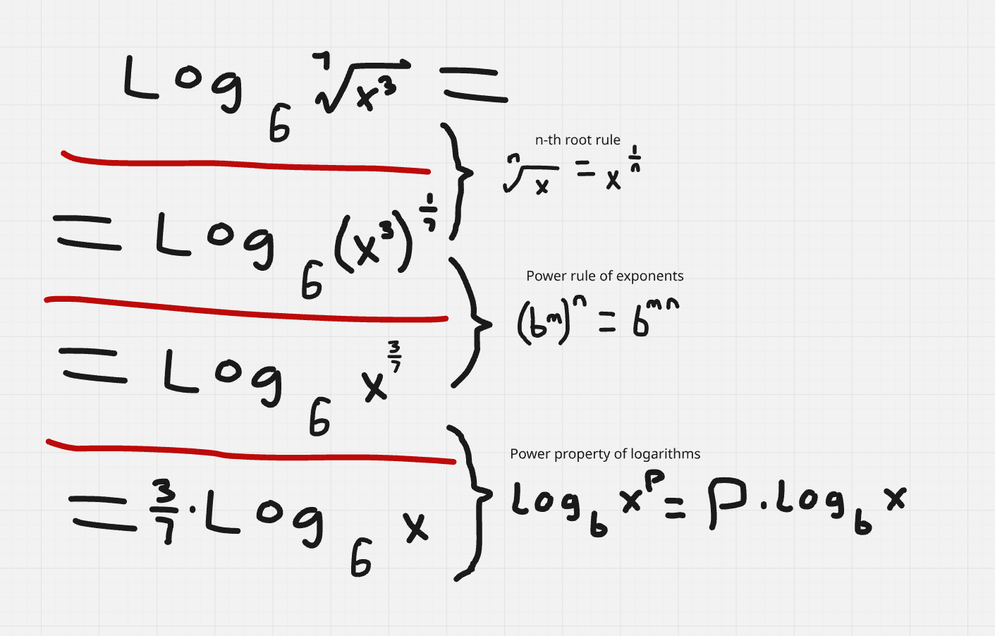
Expansion:
Solve and state each property, but only look at the answers 1 line at a time as you answer. Solve one property at a time while checking answers.
Quotient property of logarithms
Product property of logarithms
Power property of logarithms


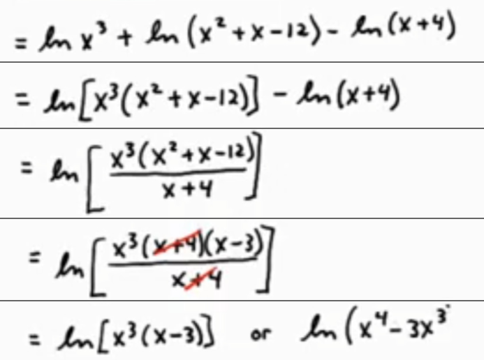
Compression:
state each property used to compress into a single logarithm, but only look at the answers 1 line at a time as you answer. Compress one property at a time while checking answers.
Power property of logarithms
Product property of logarithms
Quotient property of logarithms
(Optional) n-th root rule to rid of fractional exponent


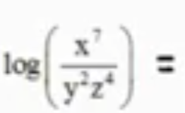
Compression:
state each property used to compress into a single logarithm, but only look at the answers 1 line at a time as you answer. Compress one property at a time while checking answers.
Power property of logarithms
Product property of logarithms
Quotient property
Simplify fraction and cancel out

Change of base formula
Can be log with any base, as long as the base in the numerator and denominator match. Doesn’t need to be common log, the bases simply must match for both sides of the fraction.


Solve to the point to where you’d need a calculator to finish solving
