1/4
Looks like no tags are added yet.
Name | Mastery | Learn | Test | Matching | Spaced | Call with Kai |
|---|
No analytics yet
Send a link to your students to track their progress
translational motion / rotation
Every possible motion of a rigid body can be represented as a combination of ***** of the center of mass and *** about an axis through the center of mass.

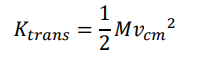
If object translates KE Formula

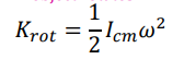
If object Rotated KE Formula

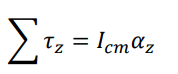
Combined Translation and Rotation: Dynamics (Formula)

if there is both translation and rotation: