C nucleophiles

0.0(0)
studied byStudied by 0 people
full-widthCall with Kai
GameKnowt Play
learnLearn
examPractice Test
spaced repetitionSpaced Repetition
heart puzzleMatch
flashcardsFlashcards
Card Sorting

1/12

encourage image

There's no tags or description

Looks like no tags are added yet.

Study Analytics
Name
Mastery
Learn
Test
Matching
Spaced

No study sessions yet.

13 Terms

1
New cards
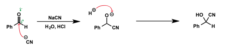
<p>cyanide as a nucleophile. equilibrium? name of products?</p><p>show mechanism for benzaldehyde</p>

cyanide as a nucleophile. equilibrium? name of products?

show mechanism for benzaldehyde

acts as a nucleophile in SN2 reactions and for addition to aldehydes and ketones. equilibrium usually lies to the side of the product under acidic conditions. products are called cyanohydrins - reduction or hydrolysis of the nitrile group in these generates useful building blocks for pharmaceutical synthesis.

<p>acts as a nucleophile in S<sub>N</sub>2 reactions and for addition to aldehydes and ketones. equilibrium usually lies to the side of the product under acidic conditions. products are called cyanohydrins - reduction or hydrolysis of the nitrile group in these generates useful building blocks for pharmaceutical synthesis.</p>
2
New cards

2 further reactions of cyanohydrins

functional groups created?

knowt flashcard image
3
New cards
<p>reagents/conditions</p><p>characterise reactant + product</p>

reagents/conditions

characterise reactant + product

knowt flashcard image
4
New cards
<p>reagents/conditions</p><p>characterise reactant + product</p>

reagents/conditions

characterise reactant + product

knowt flashcard image
5
New cards

acetylide anions

knowt flashcard image
6
New cards

organometallics as nucleophiles

  • how do they react

  • give example for acetylide anions

  • HOMO?

  • the reagent is not actually a free anion but instead has a polar carbon-metal bond (to Li for acetylide)

  • remember that although R-M react as R- the metal is still heavily involved in the reaction

<ul><li><p>the reagent is not actually a free anion but instead has a polar carbon-metal bond (to Li for acetylide)</p></li><li><p>remember that although R-M react as R<sup>-</sup> the metal is still heavily involved in the reaction</p></li></ul><p></p>
7
New cards
<p>mechanism of acetylide with this (need to know reaction not structures)</p>

mechanism of acetylide with this (need to know reaction not structures)

knowt flashcard image
8
New cards

how are organometallics made

reaction of organic halides (usually Br or I) with the elemental metal (Li/Mg). they are air and moisture sensitive and must be used in dry, aprotic solvents like THF or Et2O.

9
New cards
<p>how are secondary alcohols synthesised</p>

how are secondary alcohols synthesised

  • reduction of ketones

  • or addition of organometallics to aldehydes - if R1 ≠ R2 there are two possibilities for this

<ul><li><p>reduction of ketones</p></li><li><p>or addition of organometallics to aldehydes - if R<sub>1</sub> ≠ R<sub>2</sub> there are two possibilities for this</p></li></ul><p></p>
10
New cards
<p>how are tertiary alcohols synthesised</p>

how are tertiary alcohols synthesised

addition of organometallics to ketones - if R1 ≠ R2 ≠ R3 there are three possibilities

<p>addition of organometallics to ketones - if R<sub>1</sub> ≠ R<sub>2</sub> ≠ R<sub>3</sub> there are three possibilities</p>
11
New cards

what are grignard reagents

organomagnesium halide reagents

<p>organomagnesium halide reagents</p>
12
New cards

R-MgBr with aldehyde (methanal)

knowt flashcard image
13
New cards

which group in an organometallic is the nucleophile/base?

the organic group as the carbon has a partial negative charge due to the electropositivity of the metal