1/8
Looks like no tags are added yet.
Name | Mastery | Learn | Test | Matching | Spaced | Call with Kai |
|---|
No analytics yet
Send a link to your students to track their progress
Trapezoidal Rule Formula (what do i need to remember?)
delta x = (b-a)/n
(remember to start with x(0))

Simpson’s Rule Formula + Condition (what do i need to remember?)
delta x = (b-a)/n
condition: n must be an even integer
(remember to start with x(0))

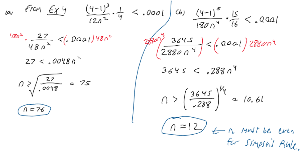
Error Analysis Formula for Trapezoidal Rule

Error Analysis Formula for Simpson’s Rule

How to find max for error analysis?
1. Endpoints
2. (see image)
(take absolute value bars off AFTER you plug them in


how would i solve this

When to use L’Hopital’s Rule?
when its f(x)/g(x) (2 functions on top of each other) and its either 0/0 or infinity/infinity

How would I solve this?
1. if I see 1^infinity, 0^0 or infinity^0
2. (follow image instructions)
3. use lhopitals if can


