1/41
Name | Mastery | Learn | Test | Matching | Spaced | Call with Kai |
|---|
No analytics yet
Send a link to your students to track their progress

the tangent has the same gradient and the same point of intersection as the curve
Differentiate the equation and sub in x=2 for the x value, find the gradient
Sub gradient and point into equation of a line and solve for y=mx+c
Answer = y=20x-27


a) draw a diagram and the angle to find
Find the direction vector
Calculate the angle using trigonometry
Add 180 to find total bearing
Answer = 246.8
b) speed is distance over time
Find distance (magnitude) using direction vector
Convert time (keep in hours)
Sub into equation
Answer = 2.77


a) rearrange to make x the subject by factorising out x
Rationalise the denominator
Simplify fully
Answer = 6+3[2
b) change so 2 is the base on either side
Make powers equal and solve
Answer = 5/12




a) use sine rule to find angle
Angle found is 51.1, but the angle in question is obtuse
Use sin rule for second value (180-51.1)
Answer = 128.9
b) label all sides, use cosine rule to find AD
Find angle DCB
DCB = CDB
CBD = 77.8
Use to find angle ABD to find total length AD
Add 12+7+7 to find total length then round up
Answer = 42m


a) use binomial expansion
Answer = 1+10kx+45k²x²+120k³x³
b) 120k³=30k
Divide by k. k²=1/4
Answer= k=+1/2, -1/2


a) simplify the bracket , =(5/2x^-1/2+3)
Differentiate = 5x^1/2+3x
Expand using k and 1 to get 5[k+3k-12=0
b) sub in x=[k
= 3x²+5x-12=0
Expand our algebraically
(3x-4)(x+3)
[k=4/3 or -3
Reject -3, negative root
k=16/9


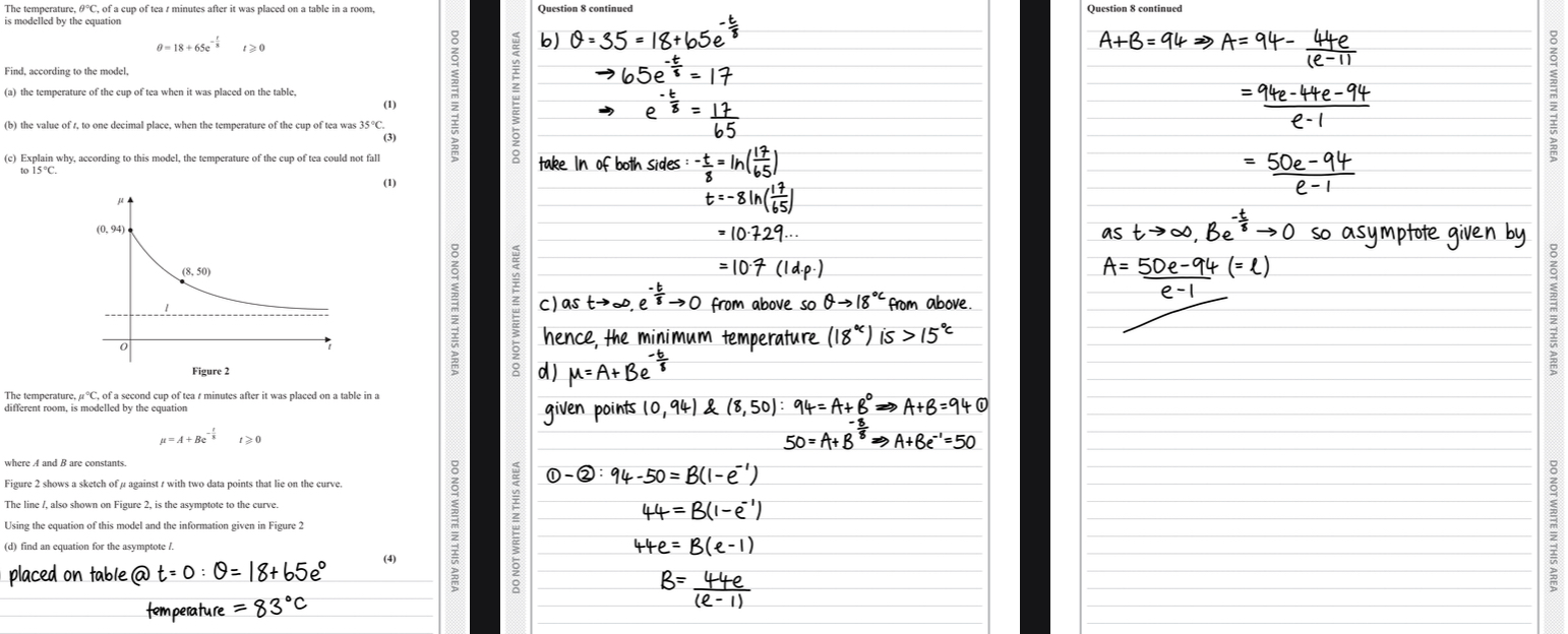
a) t=0, so e^0 =1
65×1 = 65
So angle = 18+65=83
Answer =83
b) 35=18+65e^-t/8
e^-t/8=17/65
Take ln of both sides
-t/8=ln(17/65)
t=-8ln(17/65)
answer = 10.7
c) t is infinite, e^-t/8 is 0
So 65×0=0
Answer= minimum temp is 18 degrees which is higher than 15
d) sub points into the equation where x=t and y=u
Solve using simultaneous equations, form a third equation by using 1-2
Find B
Sub into original equation 1
find A (answer)
Answer= 5e-94/e-1


a) the minimum of cosx=-1
So the minimum of 3cosx=-3, so y=-3
P is the first minimum for x<0 so c=-180
Answer = P(-180,-3)
b) i) in bracket so effects x
Times x by 4
Answer = (-720,-3)
ii) inside bracket so effects x, x+36
Answer = (-144,-3)
c) list trig identities
Sub in gradient identity and simplify
Sub in the other trig function cos²0=1-sin²0
Make into quadratic and factorise
Reject value -3 as min value is -1
Use sin0=1/3
Angle is 19.47
Find second value using 180-
Add 360 to find within range
Answer = 520.5


a) sub x=5 into the equation and solve to prove equals 0
Make a concluding statement
Answer = (x-5) is a factor as g(5)=0 so g(x) is divisible by (x-5)
b) divide using polynomial division ax2+bx+c and x-5
Find values a b and c
Write quadratic and sub into calculator to find x values
Answer = (2x+7)(x-5)(x+2)
c) find roots from previous answer and y intercept from equation
Sketch a graph and label region R
Integrate the equation
Sub in 5 and -2
Calculate (5)-(-2)
Answer as exact value and +ve
Answer = 1715/3


i) expand back out into x and y brackets to find the centre of the circle
Point (-9,1)
The radius and tangent are perpendicular so find gradient
Gradient between (-9,1) and (-5,7) is 3/2
So gradient if tangent is -2/3
Sub into equation if a line with point
In form ax+by+c=0
Answer= 2x+3y-11=0
ii) fourth quadrant so need the centre of c2
Expand new equation out to find point
Centre (4,-6)
If it lies entirely in one quadrant it doesn’t cross the axes so the radius has to be less than 4
r<4 so 52-k<4²
k>36
r>0 as lengths can’t be negative so 52-k>0
Answer = 36<k<52




























































