1/6
Looks like no tags are added yet.
Name | Mastery | Learn | Test | Matching | Spaced | Call with Kai |
|---|
No study sessions yet.
Difference of Squares
a2 - b2 = (a + b)(a - b)
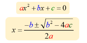
Quadratic Equation

Determining the Nature of Roots of a Quadratic Equation
We do this based off the discriminant (b2 - 4ac)
b2 - 4ac > 0 has two real, distinct roots
b2 - 4ac = 0 has real, equal roots
b2 - 4ac < 0 has no real roots
Roots of Quadratic

Making Quadratic with New Roots

Manipulating the Roots of a Quadratic

Equations Reducible to a Quadratic
(Examples)
22x+1 —> (2x)2 × 21
x + √x —> √x = y
x = y2
x4 + x2 —> x2 = y
x4 = y2