geneesmiddelen inleiding medicinale

0.0(0)
studied byStudied by 0 people
full-widthCall with Kai
GameKnowt Play
learnLearn
examPractice Test
spaced repetitionSpaced Repetition
heart puzzleMatch
flashcardsFlashcards
Card Sorting

1/3

encourage image

There's no tags or description

Looks like no tags are added yet.

Study Analytics
Name
Mastery
Learn
Test
Matching
Spaced

No study sessions yet.

4 Terms

1
New cards
term image
2
New cards
term image

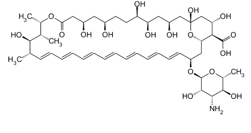
Amfotericine B: De hydrofobe regio bestaat uit geconjugeerde dubbele trans-bindingen en zorgt voor een lineair vlak. Deze staartvormige structuur is hydrofiel (veel alcohol- en carbonyl-groepen). Aan de kop is er een polair gedeelte dat bestaat uit een aminosuiker. Deze structuur zal dan ook met de membraan gaan interageren en een tunnel vormen. Hierbij zal de hydrofobe regio naar buiten toewijzen. Als gevolg van deze tunnel kunnen ionen uit de cel stromen met als gevolg dat de schimmels doodgaan

3
New cards
term image

Zidovudine/Azidothymidine (AZT): reverse transcriptase inhibitor door terminator ketenverlenging (geen OH groep in de trifosfaar vorm)

4
New cards
term image

Nevirapine: NNRTI (non-nucleoside R.T. Inhibitor) → niet competitieve inhibitor

Explore top flashcards

MGMT 445: Exam 2
Updated 896d ago
flashcards Flashcards (33)
Ap Euro Final
Updated 1030d ago
flashcards Flashcards (82)
Psych. Chapter 13
Updated 986d ago
flashcards Flashcards (38)
2 - EasyGerman
Updated 50d ago
flashcards Flashcards (35)
CHAPTER 6 SKIN
Updated 365d ago
flashcards Flashcards (57)
CSCI 50.01 LT#3
Updated 318d ago
flashcards Flashcards (250)
Times tables
Updated 733d ago
flashcards Flashcards (144)
MGMT 445: Exam 2
Updated 896d ago
flashcards Flashcards (33)
Ap Euro Final
Updated 1030d ago
flashcards Flashcards (82)
Psych. Chapter 13
Updated 986d ago
flashcards Flashcards (38)
2 - EasyGerman
Updated 50d ago
flashcards Flashcards (35)
CHAPTER 6 SKIN
Updated 365d ago
flashcards Flashcards (57)
CSCI 50.01 LT#3
Updated 318d ago
flashcards Flashcards (250)
Times tables
Updated 733d ago
flashcards Flashcards (144)