1/10
Looks like no tags are added yet.
Name | Mastery | Learn | Test | Matching | Spaced | Call with Kai |
|---|
No analytics yet
Send a link to your students to track their progress
macluarin series of e^x

maclaurin series of cosx

macluarin series of sinx

macluarin series of 1/(1-x)
equals xn

maclaurin series of ln(1+x)

when to use method of washers vs discs for solids of revolution
Discs - no gap between funct and axis ( usually one funct) disc
Washers - gap between funct and axis - if there are two functions bounding the region, there's almost always a gap between one of them and the axis.
formula for area of both circles is just πR²
rotating not around origin ( solids of revolution)
When shifting off axis - radius changes;
Rotating around y = 2, and your function is below it → radius = 2 − f(x)
Rotating around y = −1, and your function is above it → radius = f(x) − (−1) = f(x) + 1
solid of rev by rotating cylinder notes
cylinder is parallel to axis
formula is A=2piRH, H is f(x) R is just x, because it changes with bounds of integration ( dont put in fixed radius based on bouns→ leave that to integration portion)
formula for area of cylinder is just πR² H
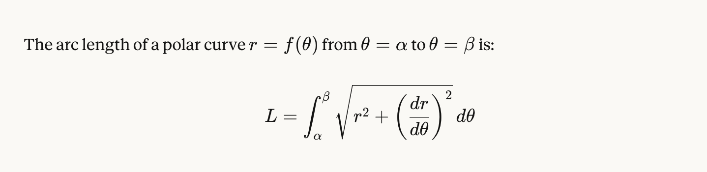
arc length formula

area of semi circle
½πr²
arc length polar form
