1/17
Looks like no tags are added yet.
Name | Mastery | Learn | Test | Matching | Spaced | Call with Kai |
|---|
No study sessions yet.
Void Ratio (e)

Porosity (n)

Degree of Saturation (S)

Moisture Content (w)

Specific Gravity (Gs) of Soil Solid

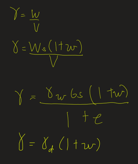
Unit Weight / Moist Unit Weight

Dry Unit Weight

Saturated Unit Weight

Density

Dry Density

Saturated Density

Effective Unit Weight

Dry Unit Weight @ Zero Air Voids

Air Content (ac)

Air Void Ratio (na)

Critical Hydraulic Gradient

Relative Density / Density Index

Relative / Percent Compaction (R)
