1/16
Looks like no tags are added yet.
Name | Mastery | Learn | Test | Matching | Spaced | Call with Kai |
|---|
No study sessions yet.
Foil method

Foil Shortcuts

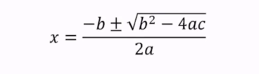
Quadratic Formula

What is the product of the roots?
c/a
What is the sum of the roots
-b /a
what is the discriminant and how does it help us
b² - 4ac
Helps us to quickly determine the number of solutions a quadratic equation has
Greater than 0 = 2 solutions
= 0 means 1 solution
Less than zero or negative = 0 solutions
factoring trinomials with x²
what factors of c will add up to b
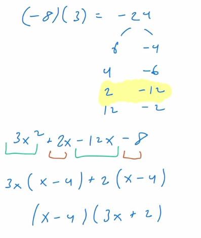
factoring trinomials with ax²
what factors of a*c will add up to b; write out answers as b and factor out answer

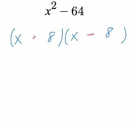
X² - Perfect square
(x+srt) (x-srt)

how to find perpendicular line slope if given original line slope
take the negative reciprocal
parallel lines have
the same slope
2 point formula for the slope of a line
m= (y2 - y1) / (x2 - x1)
how to find vertex of a quadratic
x of vertex = -b/2a; then plug in answer into quadratic to find y
Cubic function
has defining squiggle

absolute value functions
A like shape that forms something that likes a right angle

Square root function

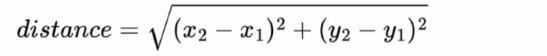
distance formula
