1/7
Looks like no tags are added yet.
Name | Mastery | Learn | Test | Matching | Spaced | Call with Kai |
|---|
No analytics yet
Send a link to your students to track their progress
Adenine
PURINE.
Nucleoside: adenosine
Nucleotides in RNA: AMP
Nucleotides in DNA: dAMP

Guanine
PURINE.
Nucleoside: guanosine
Nucleotides in RNA: GMP
Nucleotides in DNA: dGMP

Cytosine
PYRIMIDINE.
Nucleoside: cytidine
Nucleotides in RNA: CMP
Nucleotides in DNA: dCMP

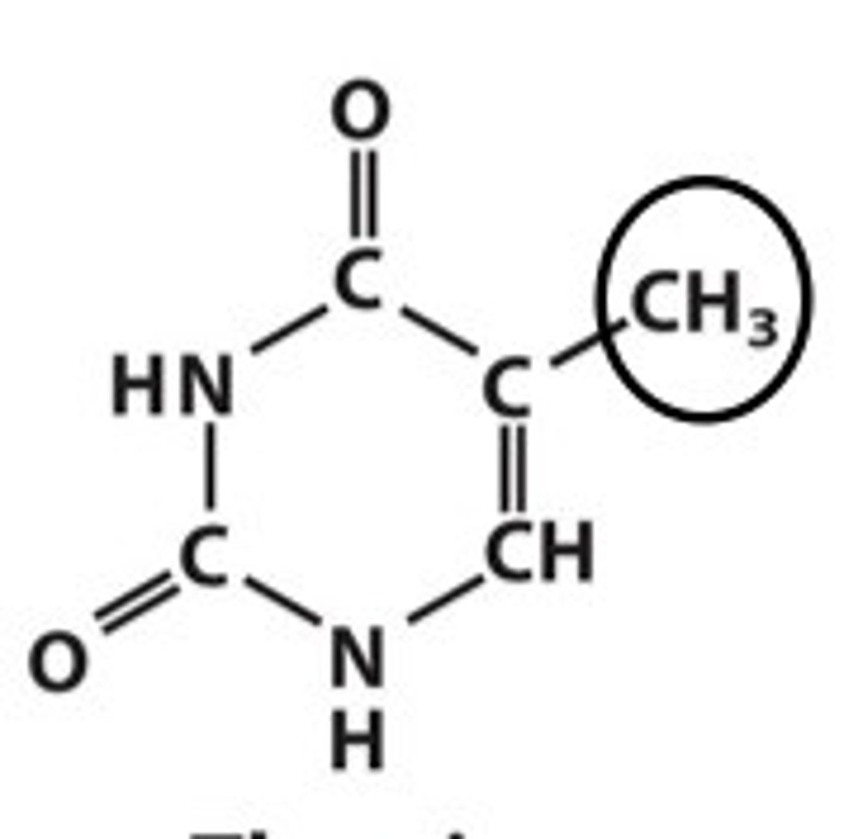
Thymine
PYRIMIDINE
Nucleoside: thymidine
Nucleotides in DNA: dTMP
No nucleotides in RNA.

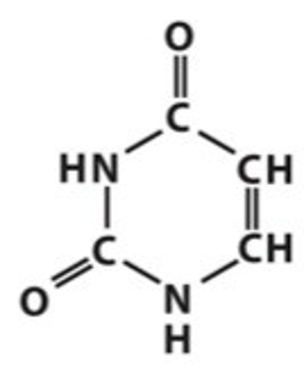
Uracil
PYRIMIDINE
Nucleoside: uridine
Nucleotides in RNA: UMP
No nucleotides in DNA.

Nucleoside
nucleotide without phosphate group.
Purine
double-ring nitrogenous base (A, G)
Pyrimidine
single-ring nitrogenous base (C, T, U)