1/71
Looks like no tags are added yet.
Name | Mastery | Learn | Test | Matching | Spaced | Call with Kai |
|---|
No analytics yet
Send a link to your students to track their progress
Memory and Emotion
Valence: How positive or negative something is (x axis)
Arousal: How activated you are (y axis)

Emotions and Memory
Emotions call attention to important information and adjust priorities.
In memory:
Negative emotions tend to narrow our attention to central details
E.g., forget perpetrator
Positive emotions broaden our attention to peripheral details
E.g., more source/sensory details
broaden and build hypothesis: makes us more creative, interested to explore.
Weapon Focus
Weapon focus effect: people have good memory for a weapon when a weapon is present (vs. a non-threatening object like cellphone) during a crime. Details for criminal and any other contextual information decrease
Two hypotheses
Arousal/threat (Easterbrook’s) hypothesis: stress narrows our attention to important stimuli, reducing memory for peripheral details.
Unusualness hypothesis: attention is attracted to objects that are unexpected in the current situation.
the unusual condition has longer reaction times than control (but is still slightly less than weapon)
E.g., female holding a knife produces greater weapon focus effect (increase memory of weapon, decrease for other contextual information). Because a woman is less expected in that context (schema).

Theoretical accounts value arousal/threat hypothesis more
Memory for peripheral details progressively decrease when pictures become increasingly more stressful. Central details increase (Yegiyan & Lang 2010).
Stress & anxiety impairs attentional control (Eyesneck et al. 2007) and retrieval (Shields et al. 2017)
More about stress than unusualness
Flashbulb memories
Long-lasting, highly vivid, and confidently held memories of the circumstances for learning surprising, important, public events that were not directly experienced
Whether you were affected by the event is a factor (Europeans report less flashbulb memories for US events).
President Kennedy, MLK, Malcom X, Challenger Explosion, 9/11, Boston Marathon, etc.
Talarico & Rubin (2003)
Details of flashbulb memories are lost at similar rates to everyday memories, but their vividness and belief in accuracy surrounding the events remain relatively constant.
Losing details like where you first learned about the event (on the radio vs on the tv)
Potentially because lots of media attention for event, resulting in lots of coverage and reactivation, distorting memory

Misinformation
Loftus & Palmer (1974)
Participants are shown a video of two cars having an accident.
“How fast were the cars going when they hit each other?”
Increased intensity of the verb increases MPH estimate.
There is no broken glass, but the verb also influences reports of broken glass (more intense, more participants say saw broken glass)


Loftus et al. (1978)
Misinformation effect: misleading information presented after an event causes distortions in memory for that event.
“Did another car pass the red Datsum while it was stopped at the [stop/yield] sign?
Participants either in a condition that aligned with what they saw on the video (questionaire video match) or mismatched
In the mismatched condition, participants were 3x more likely to be misled or informed by the questionnaire if given inconsistent information, resulting in more errors (misremembering)
Only 12% who were misled indicated they noticed a difference between questionnaire and image shown.
Immediate questionnaire is given right after image slides, delayed 20 minutes after image slides & distractor.
Analysis with delays
More easily misled after a delay between encoding and misinformation (more misinformation effect + errors)
What type of interference is occurring?
Retroactive
![<p><span style="background-color: transparent;"><strong><span>Misinformation effect: </span></strong><span>misleading information presented after an event causes distortions in memory for that event.</span></span></p><ul><li><p><span style="background-color: transparent;"><span>“Did another car pass the red Datsum while it was stopped at the [stop/yield] sign?</span></span></p></li><li><p><span style="background-color: transparent;"><span>Participants either in a condition that aligned with what they saw on the video (questionaire video match) or mismatched</span></span></p></li><li><p><span style="background-color: transparent;"><span>In the mismatched condition, participants were 3x </span><strong><span>more likely to be misled or informed by the questionnaire </span></strong><span>if given inconsistent information, resulting in </span><strong><span>more errors</span></strong><span> (misremembering)</span></span></p></li></ul><ul><li><p><span style="background-color: transparent;"><span>Only 12% who were misled indicated they noticed a difference between questionnaire and image shown.</span></span></p></li></ul><ul><li><p><span style="background-color: transparent;"><span>Immediate questionnaire is given right after image slides, delayed 20 minutes after image slides & distractor.</span></span></p></li></ul><p>Analysis with delays</p><ul><li><p><span style="background-color: transparent;"><span>More easily misled after a delay between encoding and misinformation (more misinformation effect + errors)</span></span></p></li></ul><ul><li><p><span style="background-color: transparent;"><span>What type of interference is occurring?</span></span></p><ul><li><p>Retroactive</p></li></ul></li></ul><p></p>](https://knowt-user-attachments.s3.amazonaws.com/8673a20f-6a76-4f0a-9399-30dc7bfcdb21.png)
Lindsey et al. (2004)
Listening to an audio story about a palace burglary (similar group) or a school field trip to the palace (dissimilar group).
The next day, watch a video of a museum burglary.
Suggested items are those that were not present in the video, but mentioned in the audio narrative. Control items were questions about details not mentioned in either narrative.
e.g., “What was sculpted onto the stand in the big room in the video?” (no such detail in the video, but in the narrative, yes.
More errors for suggestions in the thematically similar narrative condition.
People were more likely to fall into misinformation effect when misinformation aligns with thematically similar previous learning (unrelated to event trying to remember)
Proactive interference can influence misinformation too!

Putnam et al. (2017)
Misinformation effects are more prominent for peripheral or relatively minor details.
Graph shows as memory detail improves, false information decreases

Implanting memories
Participants given images of childhood and asked to recall event. Participants were shown 3 real images and 1 doctored image of them in a hot air balloon.
When participants could not recall the doctored memory, the researcher led them on guided imagination process to help them recover their lost memory.
Then they looked at the amount of false details recalled.
Number of false details recalled increased from first interview to third interview (so over time)
More people remembered false details of a made up childhood memory and by the third interview they no longer relied on the photo to come up with details (details were non-photographed)

How to reduce the misinformation effect?
Warning someone about the presence of misinformation after encoding and the misleading information has been presented (Blank & Launay, 2014).
Alerting someone to the fact that false memories can be created during interviews helped reduce implanted memories (e.g., 27-50% to about 5% a year later).

Eyewitness
What is known about Eye-Witness Identification?
The rate of inaccurate identification is highly variable ( from 3% to 90%). It depends on many factors, primarily those that effect memory for more mundane events (encoding time, retention interval, interference, TAP).
Eyewitness Confidence:
Accuracy and confidence r =.37-.40
Some sort of positive relationship
“Confidence Inflation” : Eyewitness tend to later have always been confident in their identification even if at the time they showed low confidence
Confirmation Bias
Distortions of memory caused by the influence of expectations concerning what is likely to have happened
Allport & Postman (1947)
Showed white participants photographs depicting a white man holding a knife, seeming to aggressively confront a black man
Told them to share information about the photo with other participants
Found high rate of reports that it was the black man who was holding the knife
Possible that white participants’ expectations influenced memory for what the photo depicted.
Lindholm & Christianson (1998)
Swedish and immigrant students watched a video of simulated robbery in which the robber seriously wounds the cashier of the store.
Perpetrator was either Swede (with blond hair and white skin) or was immigrant (with black hair and dark skin)
Subjects subsequently provided with 8 faces (half swede, half immigrant) and asked to identify perpetrator.
Results
Only 30% correct recognition.
But an innocent immigrant was twice as likely to be misidentified as an innocent swede.
Same for both Swedish and immigrant participants.
Possible that expectations played a role here too (overrepresented crime stats)
Tuckey & Brewer (2003)
Known that people have a bank robber schema (e.g. where disguises, have getaway car, are male)
Tuckey & Brewer studied how this schema may influence recall.
Showed subjects simulated bank robbery videos
In some videos, there was ambiguous information such as a balaclava over the robbers head making gender information unclear.
Results
Relatively more schema distortions in the ambiguous conditions.
For example, subjects likely to recall the robber as male when the details of their gender were ambiguous.

The Effect of Age
Children are generally less accurate memories than adults
Elderly adults are also less accurate.
More likely than younger adults to choose someone in a lineup even when the culprit is not present. (60-80 yrs old)
Worse memory for old vs new faces.
More liberal response criteria.
Healey & Kahana on why its hard when older:
Reduced ability to sustain attention during learning,
Less able to retrieve context relevant information to facilitate recall (source details, binding associated details)
Harder to monitor their retrievals (need sustained attention)
Finally their retrieval is more likely to produce noise (retrieve unwanted associated information).
The elderly are…
More susceptible to misinformation.
One study found that after exposure to post-event misinformation, younger subjects had a 4% chance of producing false memories while older subjects had a 43% chance. (Jacoby, Bishara, Hessels & Toth, 2005)
Also tend to be much more confident about these memories than younger adults.
More likely to use scripts and schemas
Police Procedures and Memory
Lineup identification performance is generally poor. Valentine et al (2003) analyzed 640 eyewitnesses identifying suspects in 314 lineups (England)
Only 40% correctly identified suspect, 20% an innocent person, and 40% couldn’t decide.
Lineups
Steblay, Dysart and Wells (2011) – looked at combined experimental studies to compare simultaneous or sequential lineups
When culprit present, was correctly identified 52% of the time with simultaneous presentation vs. 44% of the time for sequential
When culprit absent, innocent person chosen 54% of the time for simultaneous vs. 32% of the time for sequential
Implications
Appears that eyewitnesses adopt a more liberal/loose criterion when faces with simultaneous displays
Sequential more diagnostic (better at discriminating between innocent and guilty, higher d’)
There is a reduction in correct identification (8%) for sequential but a huge drop (22%) in misidentifications.
Therefore sequential is recommended to reduce misidentification
Misidentifications can be further reduced with addition of “not-sure” option and to emphasize to the eyewitness that the culprit might not be present.
Police have also implemented blind presentation where the cop facilitating the line up does not know who the prime suspect is (to reduce subtle biases)

Police Interview
Police interview techniques have historically been conducted in less than ideal ways.
Police often asked closed-ended questions for example that limited the amount of detail elicited.
What was the color of the car? – limited
What can you tell me about the car – open-ended
Often interrupting the eyewitness causes them to be distracted during recall
Cognitive Interview
Psychologists have developed a cognitive interview based on four principles:
Mental reinstatement of environment
Encouragement to recall every detail no matter how seemingly trivial
Have them describe events in several different orders
Have them adopt different perspectives
It seems all of these principles draw upon some of the memory principles we have discussed.
Encoding specificity/context dependent memory for example (1-2)
Cognitive Interview: Findings
Greater recall of correct details than standard interview.
Dando et al. (2023) created a good verbal rapport, which led to 15% increase in correct and 27% decrease in false recall.
Closing eyes also enhances recall by reducing cognitive load.
Downsides
Can increase recall of false details (small but significant).
Doesn’t reduce misinformation effect.
Recall things in mixed-temporal order not effective and can hurt correct recall and increase errors.
Pay attention when the subject is uncertain, more likely to make errors (23% vs 6%) Paul et al. (2016).
Flowe et al. (2018) real life vs lab
Many eyewitness statements are made by victims, not bystanders (56% irl vs 7% in lab)
Most eyewitnesses are stressed by violence (54% irl vs 9% in lab).
Exposure is usually longer (8 vs 1 minute(s)).
Multiple vs single perspectives (irl witnesses see the culprit from multiple angles whereas lab participants see them straight on or at 1 angle)
92% of eyewitnesses are acquainted with the culprit
Live show-up is more common (51% vs <1% in laboratory).
Showing one (live) person at a time, sequential
In the courtroom
I-I-Eye method
It increases juror’s knowledge of factors influencing accuracy of eyewitness testimony
It indicates how to use knowledge to evaluate eyewitness testimony.
It results in more differentiation between weak and strong cases. Much less people in weak cases were found guilty and more people in strong cases were found guilty compared to other methods (NvB, standard JD)
I-I-Eye
Was the eyewitness interviewed properly by law enforcement? A) did they obtain the maximum amount of accurate information from the eyewitness b) contaminated the eyewitnesses memory with post-event information c) artificially increased the eyewitnesses confidence. Second, determine if the procedures were properly conducted.
NvB is about 5 factors to pay attention to for eyewitness information. Neil vs Biggers Aid. 1) evaluate the view the eyewitness had of the perpetrator 2) the length of time between the crime and identification procedure 3) the eyewitness confidence in their identification at the time of the lineup 4) the accuracy of the eyewitness prior description of the perpetrator and 5) the amount of attention the eyewitness paid to the crime.
JD is info about trying to be impartial, fair, consider all evidence

How do we recognize faces?
Featural processing of faces: paying attention to specific facial features
Configural processing: paying attention to the relationship among individual features.
Configural processing leads to better face recognition.
Face recognition is more error prone when recognizing someone who belongs to a racial group other than our own and an age group other than our own.

Effect of describing faces (verbalization)
Participants watched videos of a man stealing a car radio, then had a 20 minute delay, and then either wrote a detailed description of the face for 4 min or wrote about how they felt about the crime.
Then they had to identify faces from a photo line up
Results: People who described face were worse at recognizing it later.
People who described car were not worse at recognizing the car later.
Verbal Overshadowing effect: Verbalization can impair face recognition
Why?
Face recognition is helped by configural processing.
Written description emphasize features, not relationships among features.
Extra featural processes was done in the verbal description group, at the expense of configural processing.
Face recognition suffers when features are emphasized at the expense of the configuration of the features.
The verbal overshadowing effect for a target face occurs even if you describe another face.
The victim (not the perpetrator) of a crime (Westerman & Larsen, 1997)
Your parents’ or roommate’s face (Dodson et al., 1997)

MacRae & Lewis (2002)
Ss. watched video of bank robbery
Global (Configural) vs. Featural processing task.
Configural (global task): name large letter “Q”
Featural task: name small letters “F”
Recognition memory task
Results
Featural task (reporting small letters) led to impairment in recognition of face.

Another study on facial recognition (Wells et al., 2005)
Phase 1: Ss. viewed a face for three minutes and answered several questions about it (how humorous? How attractive?
Gp. 1:
Built a composite image
Gp 2:
Control condition (answer questions about the face)
Gp 3:
Composite Exposure control condition (answered questions and exposed to other composites)
Results:
People asked to build composites worse at face recognition (doing more Featural processing
Those who viewed a composite also performed worse than controls

Take home message
Featural processing hurts face recognition
Verbalization may encourage featural processing.
Face recognition may be more accurate if you do not describe it before recognizing it.
Building a composite face impairs recognition memory, (interference? Featural processing?)?
Viewing a composite face also impairs recognition memory.
Cross-Race Facial Recognition
Cross-race facial recognition is worse than same-race facial recognition.
Seems to be a function of expertise. Effect in smaller among people in more integrated schools and neighborhoods
Tendency toward featural processing in cross-race face recognition.
Faces rated for memorability maintain consistent memorability rankings cross-race (e.g., South Koreans vs. German faces/participants).
Gustafsson et al. (2019)
Examined eyewitness testimonies, how incorrect and correct memories differed in effort cues and how those effort cues related to confidence in that memory
Participants watched a 1-minute film sequence involving a staged crime and then were interviewed about its content. They then reported their confidence in the accuracy of each statement. Researchers recorded the interviews and coded them for effort cues (and evaluated the accuracy of statements).
Results:
Effort cues partially mediated the relationship between accuracy and confidence (accuracy→(-) less effort→(-) more confidence)
Incorrect memories involved more effort cues than correct memories
Participants were more confident in correct responses
Even when controlling for effort
Correct responses were produced faster than incorrect (but delays were a better predictor of accuracy than latency)
Implications:
Perhaps effort cues can be used in court rooms to evaluate eyewitness testimonies
Limitations involved small sample size, interviewing the participant right after the event, and the participant being a bystander while most eyewitnesses are victims
Types of Prospective memory
Prospective Memory: Is the only type of memory that involves future memory, planning, intention, and goals
Time based – remembering to do something at a particular time, intention based on time
Meeting/Deadline
Taking meds at a specific time
Event based – remembering to do something at the appropriate circumstance, intention based on event
Returning a library book (when the circumstances, at the library, fit)
Remembering to ask a question at the end of a presentation
Significance of Prospective Memory
Autonomy & Independence
Pay bills on time, doing scheduled maintenance
Safety & Health
Forgetting to take medicine, leaving child in car
Social & Professional Success
Meeting deadlines, calling friends
Time Management
Dedicating time, distributing time efficiently (going to the grocery store and returning packages in the same trip, making the trip more efficient)
Prospective vs. Retrospective
Retrospective memory:
Remembering events, words, knowledge, from the past (can be implicit and explicit)
More about informational content (what we know)
Prospective memory:
Carrying out intended actions without being specifically instructed to do so.
Low in informational content (more emphasis on when)
Prospective vs. Retrospective Differences (stats)
We spend twice as long thinking about the future than the past (30% vs. 13%)
Prospective relates to goals/plans for daily activities (14% of daily thought).
Usually internally cued (61% of the time, vs retrospective which is more externally cued)
Less external cues available for intentions/intended actions
Remembering the intent to take meds at specific time vs seeing bottles and being cued (but may not be cued on whether you took them, so prospective memory relies more on internal cues)
Emphasizes uses of memory (how memory can be used)
Failures reflect character defect (e.g., poor motivation/reliability)
Actor-observer bias: explain others' behavior as due to their internal traits (personality) while explaining our own behavior as due to external, situational factors (circumstances)
In contrast, retrospective, more external cues, emphasizes memory itself, failures mean a faulty brain rather than character
Prospective/Retrospective Similarities
There are also similarities
Correlate with intelligence, processing speed, working memory performance, and with each other (also similar brain activation between P + R
They likely correlate due to a reliance on retrospective memory in prospective tasks.
Buying groceries: remember to go (the intention), but also which groceries to buy (past knowledge).
Retrospective knowledge needed to carry out tasks, know how to complete prospective memory intentions
Measuring Prospective Memory
Prospective and Retrospective Memory Questionnaire (PRMQ) – asks people to assess their own retrospective and prospective memories
Seems valid: those who assess their own prospective memories as poor tend to do less well on prospective memory tasks.
People tend to underestimate their abilities (Schnitzspahn et al., 2011)
PRMQ examples
Do you fail to buy something you planned to buy, like a birthday card, even when you see the shop
Prospective
Do you fail to recognize a character in a radio or television show from scene to scene?
Retrospective
Do you repeat the same story to the same person on different occasions?
Retrospective
If you tried to contact a friend or relative who was out, would you forget to try again later?
Prospective
Conceptual model (Kvavilshvili & Rummel 2020)
Intention Formation
Intention Retention
Intention Retrieval
Intention Execution
“I will go to the store at 4pm.”
Delay of minutes to weeks (filler tasks/interference)
See the clock just turned 3:50pm.
Leave to go to the store.
May involve a set of actions/intentions, e.g., getting ready, grabbing car & house key, grabbing grocery bags

Real World Example: Pilot Errors
Different from lab experiments because tasks are much more routine (lab more unusual). Also cues are not well defined (compared to lab).
Dismukes and Nowinksi (2006): Of the 75 pilot reports concerning incidents or accidents caused by memory failures, 74 were failures of prospective memory instead of retrospective memory.
Forgetting intention to do something/adapt to the environment
Usually caused by interruptions from routine procedures, specifically sudden and rapid interruptions.
General Statistics/Results
Pilots interrupted make 53% more errors in a simulation.
Pilots experience on average 8 interruptions per flight.
Longer interruptions worsen the error rate.
Bottum-up influence: each action cues the next action (which is disrupted with interruption)
Top-down influence: monitoring for cues and rehearsing intention (which is disrupted with interruption)
Air Traffic Control Study
Interruptions to simulated air traffic control task.
More complex the stimuli/cognitive load of the interuption, the longer it takes to restart the task, and more likely to forget to complete the task.
No interruption, blank screen (visual), another air traffic control person interrupting (visual, verbal), greater cognitive load as move up

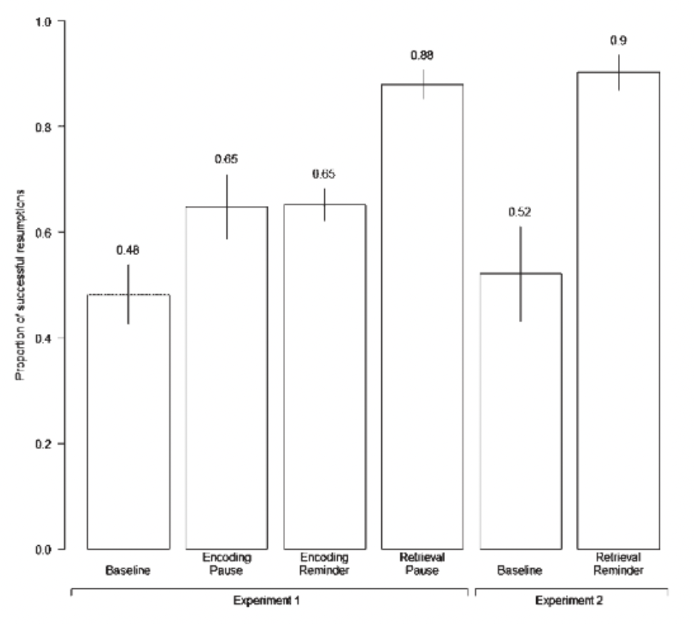
Dodhia & Dismkukes (2009)
Answer SAT style questions. Participants were told to remember to go back to a question if they are interrupted.
Will get an interruption that is loading screen for the next block (in the middle of the block they’re working on) and have the option to return to the previous block
A brief pause (blank screen) before the the interruption aids in intention formation
As helpful as an encoding reminder (remember to remember this)
A brief pause after the interruption seems to aid in intention retrieval (to return to the interrupted task)
As helpful as a retrieval reminder (remember that you should do this)
No pause either before or after the interruption leads to high rates of prospective memory failure

Habit Capture (Loft & Remington, 2010)
More prospective memory errors occur when trying to perform a new action/intention while performing strong (task repeated very often) vs. weak routines (task less repeated).
i.e., you have to perform an unusual or new action and have to overcome a well-formed habit to do so.
Automatized nature of the strong routine likely interferes with remembering to carry out task
There is an automatic nature component to prospective memory
Interruptions disrupt/contend with strong bottom up cues → more errors
Obsessive-compulsive disorder
OCD; an anxiety disorder involving intrusive thoughts that cause distress and performs repetitive physical or mental acts to counteract thoughts and relieve the distress.
May have poor memory, which may influence checking behavior (behavior present in 80% of cases).
Going back to check if you did something
OCD: Checking Behavior
Retrospective: forgetting that they have engaged in the behavior already.
But, Cuttler & Graf (2009) showed OCD and healthy controls have similar retrospective memory.
Yang et al. (2015) found patients with OCD had impaired performance on time & event based prospective memory tasks.
Checking reduces memory confidence; those with OCD have poor metamemory
Time-based vs. Event-based tasks
People generally better at event-based tasks
Likely that there are more environmental cues present for event based tasks
Time-based tasks involve more self-initiated processing
Phone call study (Kvavilashvili and Fisher, 2007)
Participants had to make a phone call over a delay
Time based condition – had to call in a week
Event based – had to make the call when receiving a text message
Those receiving the text much more likely (100% vs. 53%) to make the call punctually.
Probably because text is very powerful external cue
Time-based vs. Event-based continued
Time-based task cues tend to be predictable (e.g. every 5 minutes, you must do this)
This might lead to less active monitoring (less attentional resource focus) in time-based task
Cona et al. (2012) found greater attentional resources dedicated to event-based over time-based task
May also be why event-based is easier than time-based (in addition to less cues available).
How to improve prospective memory?
Avoid multi-tasking/interruption when possible
Form intention to resume task as soon as possible
Distinctive cues (e.g., leave grocery bags on the house door).
Motivation (money enhances PM)
Rogers & Milkman (2016) – Field Study
Researchers conducted a field study in which participants could get $1 off a drink at a cafe if they remembered to use a coupon. The control coupon was plain but in the experimental condition the coupon had a little alien on it.
When participants went into the cafe, they saw the little alien by the register
Findings: 36% increase in use of the coupon for those in the distinct reminder condition
Shows that distinct cues can be helpful!

How to improve prospective memory?
Mnemonic strategies
Implementation intentions, “If situation X occurs, I will preform Y!”
Cognitive Training
Working memory, sustained attention, ability to shift focus
External Memory aids
Calendars, alarms, diary
Use implementation intentions – set out a specific plan regarding what you will do and under which exact circumstances
Can result in the formation of “instant habits”
Increases task attention, reduces task-irrelevant thoughts.
The link between cue and intention becomes stronger and detection of the cue becomes automatic
Downsides?
Can be harder to adapt when the plan is no longer relavent
Dark Past, Bright Future?
Two philosophies
Mead (1964) believed the past was a way to escape, reconstruct positive experiences.
Bierce (1914) believed the past is negative, the future is positive.
Charles et al. (2003)
Past autobiographical memories are somewhat stable.
People generally don’t have a problem retrieving happy and sad memories in a short time frame.
Positivity bias: the tendency to recall more pleasant memories than neutral or unpleasant ones.
More present in older adults
Younger remember positive and negative equally well
Middle starting to see that positivity bias
Strongest for older adults
But there was no difference in pos/neg with recognition
Emotion regulation improves as you age, focus shifts to be more on well-being and less on goals concerning knowledge/the future.

Dark Past, Bright Future? College Students
In college students, the immediate personal pasts is more variable in valance, but the future is generally optimistic
Compared to peers, predict they will will have more favorable personal future and less negative occurrences.
Six graders and older generations are very optimistic about the future too.
Past instances of failures to complete a task and imagining failures to complete a task are ignored – instead, highly optimistic about task completion times, ignore possible failure.
Planning fallacy
Past instances of failures to complete a task and imagining failures to complete a task are ignored
Instead, highly optimistic about task completion times, ignore possible failure.
Planning fallacy: underestimate the time, cost, and risks of a future task, despite knowing that similar past projects have taken longer.
“predict as accurately as possible when you will you submit your finished thesis?”
Nearly x2 the time compared with predictions.
Best estimate was closer to optimistic than pessimistic estimate

Newby-Clark & Ross (2003)
College students were tasked in 4 studies to evaluate the past and future examining negative or positive events that did or could happen.
Exp 1
Free recall of 10 past & future events
Predicted mixed pasts and optimistic futures, 10 minutes each.
Participants rated happy, glad, sad, depressed (10-pt scale)
Results
Future (8.47) > Past (6.54) (more positive), and more variability for Past (2.81) vs Future (1.46)
Results:
Participants recall an affectively mixed past but homogeneously ideal futures
Exp 2/3: Future negative events longer to generate, but no difference for past events. Likely due to harder to project.
Exp 4: Participants judged positive future events as more likely than negative ones.
Implications:
Our prospective autobiographical memories have a positive bias.
Our past is generally more mixed, but negative memories and negative emotions associated with those memories fade with time.
Consciousness and Action
Study in which participants had to report when they made the decision to flex their wrist
When people report the time of a conscious decision to make a movement, brain scans indicate the brain activity responsible for the movement began before the reported time of the conscious decision.
Neural activity increases before consciousness of decision/intention

Reminiscence bump
Reminiscence bump: A tendency for participants over 40 to show a high rate of recollecting personal experiences from age 10-30.
Why?
A lot of major life events occur in this time, so we are more likely to remember/reminiscence
Life narrative: a coherent and integrated account of one’s life that forms the basis of autobiographical memory retrieval. Provides an organize set of schemas with which key episodic events can be integrated.
Explanations
Cognitive explanatory account: heightened novelty, depth of processing, distinctiveness, rehearsal of events from bump period.
Identity formation: experiences that are thought about a lot and will be well integrated into one’s self concept.
Cultural life script: members of a culture internalize a well-developed, idealized story of what typical people experience throughout their lives.
Tends to shift for those who have immigrated to before+after immigration point

Infantile Amnesia
Tustin and Hayne (2010) – asked different age groups about their earliest memories
Calculated average age of earliest memories for each group
Findings from Tustin and Hayne’s (2010) study found that the earliest memories of children between the ages of 5 and 9 were from about 1½ years.
18-20 year olds generally don’t remember anything before the age of 3 years old. Earliest memories get forgotten overtime.
Younger people tend to remember younger memories
Hard to study because events usually can’t be verified in the lab
Sheingold and Tenney (1982)
Had college students recall birth of younger siblings, details of which can be confirmed by parents
When college students were asked to recall the birth of a sibling, they remembered virtually nothing if the event had occurred before they were 3 years old: an example of infantile amnesia (Sheingold & Tenney, 1982).
Memories began around 3-5

Studying Memory of Infants: Problems
Can’t give them explicit verbal instructions
Have trouble focusing there attention to what needs to be learned
Since can’t verbally communicate, motor responses necessary (which are also limited in interpretation)
sucking patterns, looking times, head turns, kicking
How can we know whether the memory is consciously remembered or whether it is implicit (conditioning)?
Theories for Infant Memory:
Traditional view: Before the age of 1, Infants are only capable of implicit learning largely through reinforcement.
Infants do not form declarative (explicit) memories until around the end of the first year due to a still maturing hippocampus
Rovee-Collier and Cuevas (2007) – Ecological model: In contrast to traditional model, it is assumed that basic memory processes don’t change with age.
What is learned is what is different. This is due to the immobility of infants which leads to nonselective learning of associations.
As infants grow older and can move independently, they become more selective in terms of what associations they make.
Studying Memory of Infants: Different Predictions
Traditional Model: very limited learning during the first year with learning gradually increasing with age.
Ecological Model: ”Exuberant” learning during first year of life and some types of associations will actually be harder to make as they grow older.
Visual Cliff Experiment
First, it's more a measure of depth perception, but infants will initially crawl over the edge, then after several weeks of experience, do not cross the edge.
When infant learns to walk, they will walk right over the edge again (as if they’ve forgotten) and have to relearn not to.
Could be due to perspectives changing

Learning Novel Sounds
Infants tend to habituate to familiar stimuli and provide shorter looking times.
Infants are more likely to attend to novel stimuli, turn their head, and look longer.
We can use this tendency to examine language development to see if children can detect differences between sounds
Playing sounds for the infant and conditioning them to expect a fun animal video when they look to the side at a novel sound. Then seeing when they look to the side
Age 10-12 months, infants lose the ability to distinguish non-native sound categories (languages) (e.g., l, r, ㄹ)

Object Permanence
Piaget thought infants did not have object permanence: the consistency of existence of objects outside of immediate awareness.
Object permanence and the understanding of basic physics is often studied using “impossible event” methods.
Impossible Event study:
Infants are shown a ramp and a screen. In the possible condition, the screen lifts to show no block behind. In the impossible, the screen lifts to show a block. Then the infants watch a car roll down the ramp and pass the screen (impossible in the impossible condition with the block)
Measure time spent looking
Longer looking time for the impossible event, showing some object permanence as they seem to work through how this could occur

Mobile Conjugate Reinforcement Task
Developed by Rovee-Collier
Mobiles attract the attention of infants.
Takes advantage of their interest by having them learn to manipulate the movement of the mobile (tying string to foot)
Baseline – mobile presented and infants foot tied to side of crib (measure baseline kicking behavior)
Learning – infant’s foot tied to the mobile itself so kicking can cause it to move (which is reinforcing for them)
Memory Test – after retention interval, can see if they remember to kick in presence of mobile
Mobile Task: Findings
Rovee-Collier (1989) – at 2 months of age, infants kicking returns to baseline after 2 days (they forget)
In contrast, 3 month olds show evidence of retention of memory after a period of two weeks.

Train Task and Reminders
When reminders (reinstatement) are given retention period can be much longer.
Hartshorn (2003) provided 6-month olds with train task (push a lever to make train move). Gave them a series of 5 reminders (7,8,9,12, and 18 months).
When tested at 24 months, evidence of retention was found (despite there only being one reminder in the past 12 months).
Untaught yoked controls that received the same reinstatement regimen exhibited no retention after any delay.
Conclusions: Mobile and Train Task
Infants can apparently retain information for long periods of time (up to 18 months in Hartshorn’s study).
This suggests that the memory abilities of infants are more durable and extensive than would be predicted by the traditional model.

Deferred Imitation
With this method, infants are presented with a target action performed by an experimenter.
If after a delay, the infant can reproduce the action, this would be evidence of retention.
This is thought to be an explicit memory task (one requiring conscious recollection)
Deferred Imitation: Findings
Barr, Rovee-Collier and Campanella (2005) showed that infants at the age of 6-months can repeat target actions after a delay of 10 days when given a second presentation a day after the original.
When allowed repeated retrieval opportunities (reminders), evidence can be found of retention 10 weeks after original presentation.
Even 3-month olds can show substantial deferred imitation if given several reminders.
Giles and Rovee-Collier (2011)
Phase 1: infant presented with yellow duck and pink rabbit (for 60 min straight or for two 30 min periods in one day.
Phase 2: Three target actions performed on pink rabbit
Phase 3: Infant presented with the duck to see if they would perform the actions performed on the rabbit (evidence of association formation)
Results:
Better retention for the two 30 min sessions in one day. (Remember spacing?)
Key finding: 6 month olds demonstrated a longer retention period than 9 month olds. (28 vs. 14 days later, respectively)
Seems to support ecological model assumption that forming certain associations would be easier for younger infants (due to being more nonselective as a result of relative immobility)

Episodic Memory with Aging
Gradual declines in episodic memory are observed as we age.
This is shown with artificial material (word pairs, nonwords, etc.)
And shown with more realistic stimuli (such names of people, pictures, etc.)
What is the nature of the decline?
Craik and collaborators propose two factors:
Processing capacity
Fluid intelligence is associated with WM abilities: reason, learn new things, think abstractly and solve problems (peaks around 25)
Crystallized intelligence is a relatively permanent knowledge store of prior learning and facts.
Environmental support
Craik’s second claim is that the conditions during retrieval determine the extent of age’s effect on memory performance
Free recall performance is worst for older adults, but performance is better for cued recall and even better for recognition (more support)
Working Memory and Aging
Decline in storage capacity
Digit span declines some, but not much (-1)
More drastic declines can be observed with tasks involving the holding of information in mind and its manipulation (executive function tasks)
Processing Capacity
Older adults are likely to take longer to perceive and process material presented to them during study.
This may also prevent the use of learning strategies during encoding
Naveh-Benjamin et al. 2004
Found initially that older adults had greater difficulties recalling unrelated word-pairs (cat-book) than related ones (dog-bone)
Assumed initially to be a problem of attentional impairment in older adults (attention deficit hypothesis)
But…
Researchers examined Younger Adults, Older Adults, and Younger Adults with divided attention
Found that in the face and name recognition conditions, older adults performed better than divided attention. But worse than divided attention for face-name associations.
Associative Deficits in Older Adults
Naveh-Benjamin et al. (2004) observed deficits in older adults that couldn’t be explained by attention alone.
Age effects were only observed in the associative recognition condition
This has led to the formulation of the associative-deficit hypothesis, namely that older adults have trouble forming associations between previously unrelated stimuli.
Not an attention/strategy problem, but an impairment of basic learning.

Preventing Cognitive Decline
Is there anything that can be done to reduce the negative effects of age?
Compared the memory performance of university professors and blue collar workers in Sweden.
No difference found in rate of cognitive/memory decline.
Lifestyle
No definitive evidence of a causal connection between lifestyle and the prevention of cognitive decline (Hertzog et al., 2008)
Correlations do exist (more mental activity associated with resistance to aging), but causation is yet to be established beyond doubt
Intervention
There is good evidence for the positive effect of aerobic exercise on cognitive function.
Randomized control of sedentary adults. Walk 1 hour a day, 3 days a week over six months (showed benefits).
Meta analysis (graph shown) also showed benefits of exercise and cognition.
Greatest benefits on Executive Function tasks (more complex tasks)
Another Intervention
Rat studies have also shown that those raised in more enriched environments and given more opportunities to exercise show reduced cognitive deficits with age.
Also, horticulture in humans can promote positive emotions and reduce stress (Hassan & Deshun, 2023).
Tasks that increase autonomy and responsibility
Another Intervention
L2 learning can also improve cognitive decline

The Aging Brain
Our brains shrink as we age
Increase in the size of ventricles, filled with cerebrospinal fluid, as grey matter volume diminishes
Hippocampus loses 20-30% of its neurons with age.
Diminished Brain Activation
Iidaka et al. (2001) showed younger subjects used more brain regions when attempting to remember more complex stimuli (unrelated pictures) compared to older adults.
Older subjects may simply not be able to engage other brain regions and therefore resort to simpler memory strategies.
Importance of Dopamine
Studies have shown that dopamine is important in many cognitive functions
Low levels of dopamine are a striking feature of Parkinson’s and Huntington’s disease.
Drugs that impede dopamine function hinder spatial working memory, while drugs that facilitate function increase it
Dopamine levels account for 38% of the variance in word recognition performance and 48% of the variance in face recognition performance.
After statistically controlling for influence of dopamine levels, age explains little of our memory deficits
These results suggest possible pharmacological interventions that may combat cognitive deficits as we age
L2 Language learning and Preventing Cognitive Decline
Amoruso et al. (2025) suggests you reduce accelerated aging by about 30% if you learn a 2nd language. 43% higher risk for monolingual counterparts.
Higher risk of Dementia (4.9 vs 0.4%) and mild cognitive impairment (8.5% vs 5.3%) in monolingual vs bilingual (Venugopal et al. 2024)
Meta-analysis: Bilingualism offers protective effects against Alzheimer’s disease at a small-to-medium effect size (d = .32; Anderson et al. 2020).
Age-related gray-matter volume loss is delayed for bilinguals in the executive control brain regions (Del Maschio et al. 2018)
Better episodic recall & letter fluency in bilinguals vs. monolinguals (Ljungberg et al. 2013)
Recent MIT study on AI
Asked to write an essay based on SAT questions using only brain, search engine, or LLM (e.g., ChatGPT)
Brain-only group had the highest dDTF (where signals flow in the brain) connectivity in:
alpha (internal focus),
theta (memory encoding/cognitive load)
and delta waves (cognitive load/fatigue).
Search engine had 34-48% lower total connectivity.
LLM group had 55% lower total connectivity.
LLM group forgot quotes their own essay even minutes after they wrote it. Their essays were more homogenous, in line with LLM training biases, and they had the least sense of ownership over their work.