Intro to structural Bio - slide 2

0.0(0)
studied byStudied by 0 people
full-widthCall with Kai
GameKnowt Play
learnLearn
examPractice Test
spaced repetitionSpaced Repetition
heart puzzleMatch
flashcardsFlashcards
Card Sorting

1/106

flashcard set

Earn XP

Description and Tags

focus on Nucleic acids; taught by Dr. N. Ramasubbu; about 50 mins long

Study Analytics
Name
Mastery
Learn
Test
Matching
Spaced

No study sessions yet.

107 Terms

1
New cards

DNA stands for

Deoxyribonucleic acid

2
New cards

RNA stands for

Ribonucleic acid

3
New cards

what are the building blocks for DNA and RNA?

nucleotides

4
New cards

what are nucleotides composed of?

  • base

  • sugar

  • phosphate

5
New cards

bases can be?

purine or pyrimidine

6
New cards

sugar can be?

ribose or deoxyribose

<p>ribose or deoxyribose</p>
7
New cards

what are purines?

Adenine and Guanine

<p>Adenine and Guanine</p>
8
New cards
<p>what are the&nbsp;thick blue/orange lines representing?</p>

what are the thick blue/orange lines representing?

the space that contains the hydrogen binding information

9
New cards

what are pyrimidines

Uracil, Thymine Cytosine

<p>Uracil, Thymine Cytosine</p>
10
New cards

what is the difference between thymine and uracil?

thymine has an methyl group at the 5th position

<p>thymine has an methyl group at the 5th position</p>
11
New cards
<p>what is this highlighted portion representing?</p>

what is this highlighted portion representing?

the glycosidic bond, which connects base and sugar

12
New cards
<p>what is this highlighted portion representing?</p>

what is this highlighted portion representing?

A nucleoside, which contains the base and a sugar; e.g. adenine and a deoxyribose = adenosine

13
New cards
<p>what is this highlighted portion representing?</p>

what is this highlighted portion representing?

A nucleotide, which contains the nucleoside and a phosphate

14
New cards
<p>what is this structure representing?</p>

what is this structure representing?

ATP

15
New cards

how much energy is released when ATP is converted to ADP?

7kcals

16
New cards

what are the conformations of a nucleotide?

Anti or Syn

17
New cards
<p>this represents what nucleotide conformation?</p>

this represents what nucleotide conformation?

anti, facing away from each other, base pairing possible in DNA

18
New cards
<p>this represents what nucleotide conformation?</p>

this represents what nucleotide conformation?

syn, facing towards each other; base pairing is not possible since it is facing into the double helix

19
New cards
<p>what is this arrow showing on the sturcure</p>

what is this arrow showing on the sturcure

it is showing the glycosidic bond and how it can rotate the conformation allowing for swapping between anti and syn

20
New cards

how was the structure of DNA deduced(discovered)?

Rosalind Franklins X-ray picture; showed base stacking from the black lines and because of the X shape were able to uncover that DNA is helical in nature

<p>Rosalind Franklins X-ray picture; showed base stacking from the black lines and because of the X shape were able to uncover that DNA is helical in nature</p>
21
New cards

chargaff’s rules

%A = %T and %G = %C

22
New cards

Jerry Donahue’s contribution

showed the correct tautomer for hydrogen bonding atom

23
New cards

Linus Pauling’s dilemma?

it was whether to have the phosphate on the inside or outside of the structure model and how many strands their were in DNA

24
New cards

what are Tautomer’s of bases?

structural isomers of nucleic acid bases that differ in the arrangement of protons and double bonds

25
New cards

what is the main tautomer of cytosine?

the amino form; imino is also present

<p>the amino form; imino is also present</p>
26
New cards

what is the amino form the major tautomer for cytosine?

because it is more aromatic - resonance, more stable

27
New cards

what is the main tautomer of Guanine?

the keto form; enol is also present

<p>the keto form; enol is also present</p>
28
New cards

what is the keto form the major tautomer for guanine?

because it is more aromatic - resonance, more stable

29
New cards

what allows guanine and cytosine to be able to bind with each other?

the fact that the keto form in guanine and the amino form in cytosine are complementary and allow hydrogen bonding 

30
New cards
<p>what do the red and green arrows represent in the diagram?</p>

what do the red and green arrows represent in the diagram?

red- donors, green - acceptors 

31
New cards

why are tautomer’s of bases important?

this information was important for Watson and Crick to create the DNA structure which become obvious after knowing that the correct tautomer’s of bases resulted in complementary pairing of GC and AT and bc of chargaff’s rule

32
New cards

what was the reason that 2 strands were originally represented for DNA?

They was no clear experimental data but crick suggested that nature always comes in pairs

33
New cards

what happens when a purine and purine exist next to each other and try to form a hydrogen bond pair?

there could be bonding, but bulging will occur, meaning:

  • base pairing rules violated

  • Disruption of the DNA structure - from bulge

  • Errors - replication and transcription

  • Introduced mutation affects organism

  • DNA width affected - from bulge

34
New cards

why cant A-C or G-T base pairs be formed?

It is possible, but then only 1 hydrogen bond will be formed(bottom), middle are 2 acceptors, top is 2 donor hydrogens bumping into each other

  • Hydrogen bond donors and acceptors would be incompatible

  • No hydrogen bonds could occur between the two

  • Unable to form maximum number of H bonds

  • Spatial constraint exists

<p>It is possible, but then only 1 hydrogen bond will be formed(bottom), middle are 2 acceptors, top is 2 donor hydrogens bumping into each other</p><ul><li><p>Hydrogen bond donors and acceptors would be incompatible</p></li><li><p>No hydrogen bonds could occur between the two</p></li><li><p>Unable to form maximum number of H bonds</p></li><li><p>Spatial constraint exists</p></li></ul><p></p>
35
New cards

how can A-C or G-T base pairs be feasible?

If tatuomer’s are considered, however, the system has to be in the lowest energy state, this means that the amino form (in the examples of cytosine) is always preferred since it is at a lower energy state - more stable

<p>If tatuomer’s are considered, however, the system has to be in the lowest energy state, this means that the amino form (in the examples of cytosine) is always preferred since it is at a lower energy state - more stable</p>
36
New cards
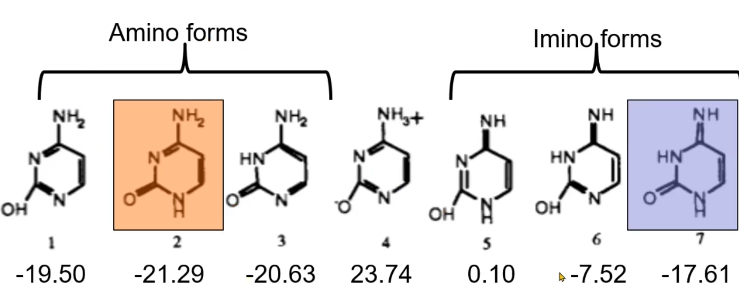
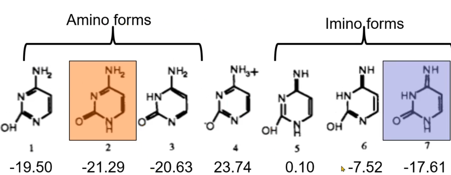
<p>what does this represent?</p>

what does this represent?

It shows y the amino form is preferred and is always used in cytosine and it is because the amino form is at a lower energy state and in turn more stable

37
New cards

What is the structural benefit of having A:T and G:C pairing?

  • It is the regular structure

  • compatible hydrogen bonding

  • more symmetric in nature

  • Energetically favorable 

38
New cards

how many hydrogen bonds do GC pairs form?

3 hydrogen bonds

39
New cards

how many hydrogen bonds do AT pairs form?

2 hydrogen bonds

40
New cards

where is the major groove on the DNA and what does it allow it to do?

It is on the outside, exposed side, of the DNA and allows for proteins to bind to it

<p>It is on the outside, exposed side, of the DNA and allows for proteins to bind to it</p>
41
New cards

where is the minor groove on the DNA and what does it allow it to do?

it is on the inside of the DNA, since the location is bent, it does not allow for binding, very little space

<p>it is on the inside of the DNA, since the location is bent, it does not allow for binding, very little space</p>
42
New cards
<p>what does this diagram show?</p>

what does this diagram show?

it shows the minor and major grooves in a DNA molecule and the space difference between the 2 explaining why one is more favorable for binding than the other

43
New cards
<p>What is the sequence of the antisense stand?</p>

What is the sequence of the antisense stand?

3`-TACGCGATCAGT-5` - antisense

44
New cards

what is another form DNA can take the shape of?

Ladder structure

<p>Ladder structure </p>
45
New cards

Why do nucleic acids form a helix and not the other structure?

Ladder structure - the distance between base pairs is 6 A where in a helix it is 3.4 A which allows water to pass through the space in a ladder structure; water will destabilize the base pairing; helix is closer tg excluding water from hydrophobic bases

<p>Ladder structure - the distance between base pairs is 6 A where in a helix it is 3.4 A which allows water to pass through the space in a ladder structure; water will destabilize the base pairing; helix is closer tg excluding water from hydrophobic bases</p>
46
New cards

what holds the helix?

  • phosphates being outside

    • interaction with water

    • less repulsion

  • Bases inside

    • stacking

    • hydrogen bonding

<ul><li><p>phosphates being outside</p><ul><li><p>interaction with water</p></li><li><p>less repulsion</p></li></ul></li><li><p>Bases inside</p><ul><li><p>stacking </p></li><li><p>hydrogen bonding</p></li></ul></li></ul><p></p>
47
New cards

Major and minor grooves - why do we have them?

because of the attachment of bases to sugar is asymmetrical, this results in the minor and major grooves forming, if the attachment was straight, they would not form

<p>because of the attachment of bases to sugar is asymmetrical, this results in the minor and major grooves forming, if the attachment was straight, they would not form</p>
48
New cards

what is the role of the major groove?

Depending on whether the binding of pairs is G-C or C-G, the major groove will be different and allows for identification based on the acceptors and donors that are exposed and in what order. This allows for specific bindings to the DNA and allowing the substance binding to distinguish between a G-C pair and a C-G pair

<p>Depending on whether the binding of pairs is G-C or C-G, the major groove will be different and allows for identification based on the acceptors and donors that are exposed and in what order. This allows for specific bindings to the DNA and allowing the substance binding to distinguish between a G-C pair and a C-G pair</p>
49
New cards

in basic terms, why is the major groove better for binding?

more info, can differentiate between, for example, C-G and G-C

<p>more info, can differentiate between, for example, C-G and G-C</p>
50
New cards

why does the minor groove not play the same role as the major groove in bind (other then all the other issues in stability and space)?

The sequence of acceptors and donors that is normal different on the major groove is the same in the minor groove, not allowing for differentiation between C-G pair and G-C pair (as an example)

<p>The sequence of acceptors and donors that is normal different on the major groove is the same in the minor groove, not allowing for differentiation between C-G pair and G-C pair (as an example)</p>
51
New cards

in basic terms, why is the minor groove worse for binding?

less info, can’t differentiate between, for example, C-G and G-C

<p>less info, can’t differentiate between, for example, C-G and G-C</p>
52
New cards

DNA structure and discovery summery

  • ‘base pairs’ arise from hydrogen bonds

  • Erwin Chargaff had the pairing data, but didn’t understand its implications

  • Rosalind Franklin’s X-ray fiber diffraction data was crucial

  • Francis Crick showed that it was a helix

  • James Watson figured out the H bonds (Donohue)

  • The hydrophobic effect from stacking of aromatic bases is also important 

53
New cards
<p>This is the structure of?</p>

This is the structure of?

Cytosine

54
New cards
<p>This is the structure of?</p>

This is the structure of?

Uracil

55
New cards
<p>This is the structure of?</p>

This is the structure of?

Thymine

56
New cards

what happens to cytosine spontaneously in DNA?

it spontaneously converts into Uracil

<p>it spontaneously converts into Uracil</p>
57
New cards

What happens when DNA enzymes detect the Uracil’s in DNA?

The repair enzymes recognizes them as mutations and replaces Us with Cs

58
New cards

If repair enzymes replace all Us with Cs, how would it distinguish between a legitimate U and mutant Us?

Thymine is used in place of uracil

59
New cards

what is another benefit of using Thymine in place of Uracil in DNA?

Thymine is more stable than Uracil, which makes it more suitable in DNA since is it needs to be long-lived, in comparison to RNA which is short-living

60
New cards

what is the name of the repair enzyme that converts the Us to Cs?

Uracil DNA Glycosylase (UDG)

61
New cards

why does RNA have uracil?

  • mRNA is short lived

  • more of it is produced - continuous production

  • Mutations (about 100 - 1000 per cell per day) are tolerated

  • Evolutionary RNA polymerases need not compete with DNA polymerase

62
New cards

what is a common modification of cytosine in DNA??

the methylation at position 5, usually clustered around protomers of genes in GC rich regions

63
New cards

what role does the methylation of position 5 in cytosine play?

regulation of gene expression

64
New cards

what happens structurally to a methylated cytosine?

it flips in out of helix and you lose a hydrogen bond 

<p>it flips in out of helix and you lose a hydrogen bond&nbsp;</p>
65
New cards

where does the flipping take place (major or minor groove)?

It can happen in both 

66
New cards

can the flipped out bases (cytosine) be repaired of modified?

yes, they can be repaired/unmethylated

67
New cards

what enzyme causes the methylation of cytosine

methyltransferase

68
New cards

how can flipping be useful?

it can be useful for DNA repair

69
New cards

what are the 3 forms of DNA duplexes?

  • Form A

  • Form B

  • Form Z

70
New cards
<p>what form of DNA is this?</p>

what form of DNA is this?

Form A

71
New cards
<p>what form of DNA is this?</p>

what form of DNA is this?

Form B

72
New cards
<p>what form of DNA is this?</p>

what form of DNA is this?

Form Z

73
New cards

what DNA form is the most abundant?

Form B

74
New cards
<p>what are the details of form A?</p>

what are the details of form A?

  • High salt

  • minimal water

  • favored form for RNA

  • right handed helix

75
New cards
<p>what are the details of form B?</p>

what are the details of form B?

  • Hydrated form

  • Right handed helix

  • will be more present in high water environments

76
New cards
<p>what are the details of form Z?</p>

what are the details of form Z?

  • occurs mostly in alternating GCGCGC regions

  • Left handed helix

  • happens because of the glycosidic bond conformation changes (anti ⇌ syn)

  • has a zigzag form where C is in anti form and G is in syn form

77
New cards
<p>what do the green lines tell u in this picture?</p>

what do the green lines tell u in this picture?

It shows you how the base pairs are tilted 

78
New cards
<p>what do the red straight lines tell u in this picture?</p>

what do the red straight lines tell u in this picture?

it shows you how the bases are perpendicular to the helical axis

79
New cards
<p>what does the solid spiral green line tell u in this picture?</p>

what does the solid spiral green line tell u in this picture?

It is representing the right handed helix that form B has

80
New cards
<p>what does the solid spiral pink line tell u in this picture?</p>

what does the solid spiral pink line tell u in this picture?

It is representing the left handed helix that form Z has

81
New cards

what is the favored duplex form of RNA?

Form A

<p>Form A</p>
82
New cards
<p>what DNA duplex is this the top structural of?</p>

what DNA duplex is this the top structural of?

Form A, you can see how to helix is very wide and big

83
New cards
<p>what DNA duplex is this the top structural of?</p>

what DNA duplex is this the top structural of?

Form B, much more compact then form A

84
New cards
<p>what DNA duplex is this the top structural of?</p>

what DNA duplex is this the top structural of?

Form Z, can see the zigzag formation and how compact it is

85
New cards
<p>what DNA duplex is this the side structural of?</p>

what DNA duplex is this the side structural of?

Form A, short, fat

86
New cards
<p>what DNA duplex is this the side structural of?</p>

what DNA duplex is this the side structural of?

Form B

87
New cards
<p>what DNA duplex is this the side structural of?</p>

what DNA duplex is this the side structural of?

Form Z, stretched, thinner

88
New cards

what are characteristics of the major groove in the DNA duplex form A?

Narrow and deep

89
New cards

what are characteristics of the major groove in the DNA duplex form B?

Wide and deep

90
New cards

what are characteristics of the major groove in the DNA duplex form Z?

flat

91
New cards

what are characteristics of the minor groove in the DNA duplex form A?

Wide and shallow

92
New cards

what are characteristics of the minor groove in the DNA duplex form B?

Narrow and deep

93
New cards

what are characteristics of the minor groove in the DNA duplex form Z?

narrow and deep

94
New cards

How does the B to Z transformation occur?

there is a rotation of bases in a GC rich region of 180 degrees

<p>there is a rotation of bases in a GC rich region of 180 degrees</p>
95
New cards

what is the physiological role of Z DNA?

  • transcription

  • relief of strain in supercoils

  • Transient in nature

  • Virus proteins can bind to prolong expression of antiapoptotic genes 

96
New cards

what is present when a Z helix forms?

BZ junctions at the 2 ends of a Z helix

<p>BZ junctions at the 2 ends of a Z helix</p>
97
New cards

what happens to DNA when a protein binds?

It bends and makes a U-turn

98
New cards
<p>what does this represent?</p>

what does this represent?

the binding of a protein (Beta-sheet) to a DNA molecule it bending and making a U-turn

99
New cards

integration host factor (IHF)

protein that bends DNA to facilitate genetic processes such as replication, transcription, and recombination, and plays a crucial role in integrating viral or foreign DNA into the host genome

100
New cards

What is an example of a DNA binding protein?

TATA box binding protein (TBP) which binds to the TATA box (8 bp part of a promoter)

the protein has a saddle structure and binds to the minor groove