1/5
Looks like no tags are added yet.
Name | Mastery | Learn | Test | Matching | Spaced |
|---|
No study sessions yet.
Rules of Decomposition
Use when we have a proper rational function. (Total degree of numerator is less than degree of denominator)
-If not proper, no way to solve and therefore limit DNE
Denominator MUST be in factored form
Factors will come in two forms, linear or irreducible quadratic:
-Linear: (x + 5), (2x - 1), x, etc
-Irreducible Quadratic: x² + C
Goal: Split the rational function into multiple rational
functions that we can integrate, using a method we already
know
Steps for Decomposition
Determine the form of the partial fraction decomposition.
Based on the denominator of the original rational function in FACTORED FORM. One fraction PER factor of the denominator
Determine the constants. This can be done either by solving a
system of linear equations, or substituting values for x.
Carry out the integration.
Distinct Linear Factors
Each “x” is “distinct” and more easily separated into separate fractions

Repeated Linear Factors
Similar to “Distinct Linear Factors” however we now have exponents involved. Separate fractions need to be made for each “n” of the exponent

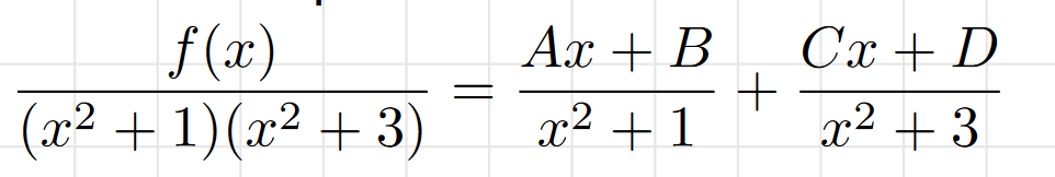
Distinct Irreducible Quadratic Factors
Similar to distinct linear, except the numerator has combined the AB, CD, etc

Repeated Irreducible Quadratic Factors
The most complicated, combines all the methods of distinct and repeated linear and distinct irreducible quadratic factors.
