1/67
Looks like no tags are added yet.
Name | Mastery | Learn | Test | Matching | Spaced | Call with Kai |
|---|
No analytics yet
Send a link to your students to track their progress
What are the two types of circular motion?
rotation and revolution

What does Tangential speed rely on?
It depends on rotational speed and the distance from the axis rotation.

What does centripetal force rely on?
The objects Tangential speed, mass, and the radius of its circular path.

Can centrifugal force be a true force?
No. Its not part of an interaction.

What is Centrifugal Force?
Centrifugal force is an apparent force that acts on a rotating or revolving body. Caused by the body's inertia
(Centrifugal means "center-fleeing", or "away from the center"). (Paul Hewitt chapter 10. )

What is Tangential speed?
Tangential speed is the linear speed of an object moving along a circular path.

what is a torque?
Torque is the tendency of a force that tends to cause rotation.

Distinguish between linear and rotational speed.
Linear speed describes how fast an object moves along a straight path, while rotational speed (or angular velocity) describes how fast an object rotates around a fixed axis

TRUE OR FALSE: The separation of light into colors arranged according to their frequency is called dispersion
True,

TRUE OR FALSE: Optical fibers are an application of refraction
False

TRUE OF FALSE: A laser is a source of incoherent light
False, light is coherent

TRUE OR FALSE: In the electromatic spectrum, gamma waves have the lowest frequency
False

TRUE OR FALSE: Shorter wavelengths diffract less than longer wavelengths
False

TRUE OR FALSE: Diffraction occurs when waves bend around obstacles or pass through narrow openings
True

TRUE OR FALSE: Polarization occurs for both transverse and longitudinal waves
False,

TRUE OR FALSE: Energy emitted by vibrating electric charges is carried by electromagnetic waves
True

TRUE OR FALSE: Diffuse reflection occurs when light is reflected in many directions from a smooth surface
True

When a wave passes through an opening, some of the wave is bent. This phenomenon is called
Diffraction

Visible light is an example of a
Transverse wave

The law of reflection states that
The angle of reflection from a mirror equals the angle of incidence

the line perpendicular to the surface is called
Normal

The angle between the incident ray and the normal is called
Angle of incidence

Destructive interference occurs when,
The crest of one wave meets the trough of another wave

Monochromatic light refers to light that is
One color

In a vacuum, an electromagnetic wave travels at...
3 x 10^8 m/s

TRUE OR FALSE: Frequency and energy are directly proportional
True, due to the relationship described as e=hf where E is energy, h is Planck's constant, and f is frequency.

TRUE OR FALSE: Diffraction occurs for light
True

When plane waves pass through an opening, the wave fronts will not change much if the opening is
Wide compare to the wavelength

Heat lamps give off mostly
Infrared waves

The interference patterns in the double-slit experiment demonstrate the
The wave nature of light

In the double slit experiment, the dark/black fringes exhibit ______ interference. The path length difference between the 2 waves from the 2 slits differs by a ____ multitude of waves.
1. Destructive,
2 half number
In a double slit experiment with a laser, the distance between the interference patterns the greatest for what color?
Red

In a double slit experiment, what principle is responsible for the alternating light and dark fringes?
The principal of Interference, because when light waves pass through two slits, they spread out and interfere with each other

You accidentally drop your phone into a swimming pool. Due due to refraction, your phone looks either further, closer or the same depth
Closer

Unlike other coherent light, light from a laser
sometimes has the same frequency and phase

Light will not pass through a pair of polarizers when their axes are
perpendicular to eachother

When a light ray passes at an angle from air into water, the ray bends
toward the normal

Assume the critical angle of diamond is 24 degrees. To achieve total internal reflection, the incident ray would have to enter at an angle greater than___________
greater than 24 degrees.

In a curved optical fiber, what does light do?
light internally reflects in a succession of straight-line paths
In the image, light travels to medium 1 to medium 2. Which medium does light travel faster in?
medium 2

What is the process called where light traveling from denser medium to a less dense medium, and is completely reflected back into the denser medium?
total internal reflection

The critical angle for glass is 42 degrees. A light ray travels from glass to air at an angle of incidence equal to the critical angle. If the angle of incidence of the light ray is decreased to 35 degrees, the light ray would
Refract through air

be able to draw the lights vectors after going through polarizers.

what Is voltage
Voltage is what electric potential is measured in and called.

If the charge on both particles is doubled, the force between them is:
quadrupled

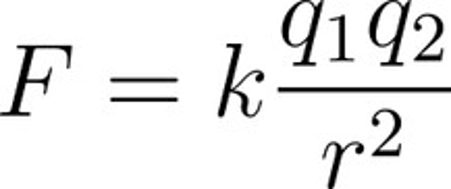
What is Coulomb's Law?
(like charges repel, unlike charges attract.) It states that for charged particles or objects that are small compared with the distance between them, the force between the charges varies directly as the product of the charges and inversely as the square of the distance between them.

If the distance between the particles is tripled, then the force between them is:
decreased by a factor of 9

What is the electric potential energy of a charge Q = 20C when it has a Voltage of 4000V? (in joules)
80,000 J

What is conservation of charge?
Conservation of charge is the principal that net "electric charge" is neither created or destroyed, but is transferred.
What happens when a wave reaches a
boundary between two media?
it can either be reflected, transmitted, or observed.

What kind of images do mirrors produce?
Mirrors only produce virtual images.

A kid on a playground swing makes a complete to-and-fro
swing each 2 seconds. The frequency of swing is
0.5 hertz (Because in this scenario frequency = the amount of swings per second.)
f=1/t

The annoying sound from a mosquito is produced when it beats its wings at the average rate
of 600 wingbeats per second.
a. What is the frequency of the soundwaves?
600 hz. Because it says it has 600 wingbeats per second.

Magnetism is produced by
Magnetism is produced by the movement of electric charges.

A magnetic field is produced by the_________ of electric charge.
A magnetic field is produced by the MOTION of electric charge.

Clusters of magnetically aligned atoms are called magnetic ____
Clusters of magnetically aligned atoms are called Magnetic domains

Explain the difference between a kilowatt and a kilowatt-hour.
A kilowatt is a unit of power, and a kilowatt power is a unit of energy.

Light is transmitted by a pair of polarizing filters when their axes are_____
When their axes aligned.

Which direction is transmitted light polarized according to the polarization axis of a filter?
The direction a transmitted light is polarized is the same as the polarization axis of the filter.

What is a photon?
Photons are massless bundles of concentrated electromagnetic energy. (A particle of light).

In the figure, the Electric field between the positive charge and the negative charge are strongest_______
Near both charges (On top of them)

where is the center of gravity for uniform objects?
At the midpoint, which Is basically the balance point of an object.

which will have a greater acceleration rolling down an incline- a hoop or a solid disk?
The solid disk, because it has less inertia than the hoop, meaning it resists motion LESS.

How do lens form images?
A lens forms an image by bending rays of light that pass through it.

A farsighted person has to wear _______ lenses and a nearsighted person has to wear______ lenses.
Converging, corrective

if a charge of 1c has a potential of 5000j, its voltage is
5000V, because V= 1/5000
1. Relative to the ground below, a 1000n boulder sits at the top of a 5m ledge. How many joules of Potential Energy does the boulder have sitting atop the ledge?
2. If it falls, with how much Kinetic Energy will it strike the ground with?
1. 5000 J
2. 1000 J

A car can go from 0-200 km/h in 6s. If the engine delivered three times the power, now how many seconds would it take for the car to go from 0-200 km/h?
It would take 2 seconds. (6 divided by 3=2)