1/23
Looks like no tags are added yet.
Name | Mastery | Learn | Test | Matching | Spaced | Call with Kai |
|---|
No study sessions yet.
Neutralisation von Salzsäure mit Natronlauge

Neutralisation von Essigsäure mit Natronlauge

Neutralisation von Ammoniak mit Salzsäure

Arrhenius Definition

Bronsted Definition

pH wert definition und ermitteln

Sonderfall Schwefelsäure

Neutralisation Definition

Starke Säure

Mittelstarke bis schwache Säuren

Starke basen

Mittelstarke bis schwache Base

Primäre sekundäre und tertiäre Salze

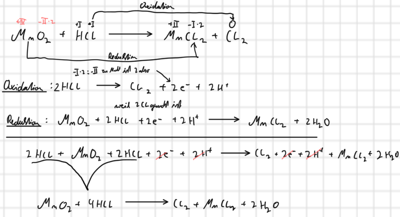
Oxidation, Reduktion, OM, und RM

OZ definition

Summe OZ in einem Ion
Ladung des Ions
Einatomige Ionen
OZ = OZ-Ladung
pH-Wert berechnen
ph (Stoff) = - log (x mol/L)
c ermitteln
10 ^ -pH
Bronsted Definition kurz (Säuren)
Säuren sind Stoffe, die Protonen abgeben können
Säure, Säureanhydrid, Säurerestion bsp
N2O5 + H2O —> 2 HNO3
Unterschied saure Salze und sauer reagierenden Salze + bsp
Saure Salze: Saure Salze sind Salze, die noch Wasserstoff enthalten
Sauer reagierende Salze: reagiert im Wasser sauer
Ein Abwasser ist schwach sauer. Zur Ausfällung von Schwermetallen soll der pH-Wert auf 8 erhöht werden. Welcher der folgenden Stoffe kann dazu verwendet werden?
Calciumoxid
OZ Ionen bsp
CO3 2-
+4 ; -2
→ 3 • (-2) = -6
-6 + 2 = -4 → C: +4