1/22
Looks like no tags are added yet.
Name | Mastery | Learn | Test | Matching | Spaced | Call with Kai |
|---|
No study sessions yet.
2-methylbutan-2-ol
Name this organic compound

heptan-2-ol
Name this organic compound

3,3-dibromopentan-2-ol
Name this organic compound

2,4-dimethylhexan-3-ol
Name this organic compound

3-methylbutan-1-ol
Name this organic compound:
(CH3)2CHCH2CH2OH
cyclopropanol
Name this organic compound

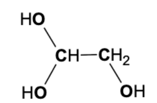
ethane-1,1,2-triol
Name this organic compound

hexane-3,3-diol
Name this organic compound
CH3CH2C(OH)2CH2CH2CH3
heptane-1,1,2,3,4,5,6,7-octol
Name this organic compound

2-methyl-3-propylpentane-1,5-diol
Name this organic compound

2-ethyl-3-isopropylbutane-1,4-diol
Name this organic compound

cyclobut-1-en-1-ol
Name this organic compound

pent-4-yn-1-ol
Name this organic compound

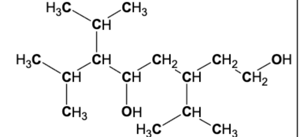
3,6-diisopropyl-7-methyloctane-1,5-diol
Name this organic compound

triphenylmethanol
Name this organic compound

Primary alcohol
What type of alcohol is CH3CH2CH2OH?
Alcohol
What is the principle functional group in propan-1-ol?
Tertiary alcohol
Classify (CH3)3COH
2-bromo-2-chlorobutane
Name this organic compound

fluorocyclopentane
Name this organic compound

2-chlorohex-2-ene
Name this organic compound

diiodoethyne
Name this organic compound

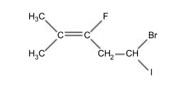
5-bromo-3-fluoro-5-iodo-2-methylpent-2-ene
Name this organic compound
