1/7
Looks like no tags are added yet.
Name | Mastery | Learn | Test | Matching | Spaced | Call with Kai |
|---|
No analytics yet
Send a link to your students to track their progress
Alkene
-ene
ex: ethene

Alkyne
-yne
ex: Ethyne

Arene
ex: Benzene

Halide
ex: Cholormethane

Alcohol
ex: Methanol

Ether
ex: Dimethyl ether

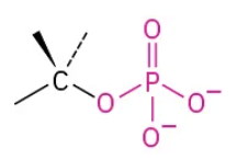
Monophosphate
ex: Methyl phosphate

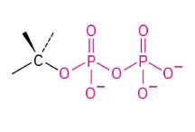
Diphosphate
ex: Methyl diphosphate
