ALGEBRA 1

0.0(0)
studied byStudied by 1 person
0.0(0)
call with kaiCall with Kai
learnLearn
examPractice Test
spaced repetitionSpaced Repetition
heart puzzleMatch
flashcardsFlashcards
GameKnowt Play
Card Sorting

1/15

encourage image

There's no tags or description

Looks like no tags are added yet.

Last updated 7:57 PM on 1/30/26
Name
Mastery
Learn
Test
Matching
Spaced
Call with Kai

No analytics yet

Send a link to your students to track their progress

16 Terms

1
New cards
term image

2X

2
New cards
term image

6

3
New cards
term image

ab

4
New cards
term image

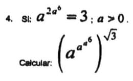
√3

5
New cards
term image

F

V

F

6
New cards
<p></p>

1/2

7
New cards
term image

1

8
New cards
term image

2026

9
New cards
term image

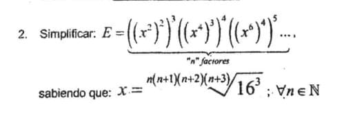
50

10
New cards
<p></p>

XZx

11
New cards
term image

2026

12
New cards
term image

2

13
New cards
term image

b

14
New cards
term image

x

15
New cards
term image

64

16
New cards
term image

2