1/23
Looks like no tags are added yet.
Name | Mastery | Learn | Test | Matching | Spaced | Call with Kai |
|---|
No analytics yet
Send a link to your students to track their progress
Fatty acids are…
Both
Choose the correct statements about biological membranes:
Both
Which of the following groups are present in a cerebroside…
All of the above
Glycerolphospholipids…
Both
Rank the melting points of the following fatty acids from highest (1) to lowest (4):
Term:
stearic (18:0)
palmitic (16:0)
oleic(18:1)
linoleic (18:2)
Definition:
1, 2, 3, 4
stearic (18:0): 1 palmitic (16:0): 2 oleic(18:1): 3 linoleic (18:2): 4

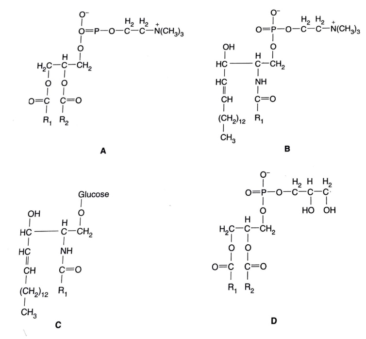
After examining the structural formulas of the four lipids below, answer the following questions.
Term:
Is a cerebroside
Is a sphingophospholipid (like sphingomyelin)
Definition:
A, B, C, D
Is a cerebroside: C Is a sphingophospholipid (like sphingomyelin): B
Cold blooded animals modulate the fatty acid composition of their membranes as a function of temperature in order to
ensure consistent membrane fluidity.
If bacteria is moved from a warm environment (like inside your nose) to a colder environment (like on your friends' shoe) the bacteria compensate by…
synthesizing more unsaturated fats for its membrane.

Considering the characteristics of common fatty acids, which of the structures shown below would you consider the most rare fatty acid to be found in nature?
Structure C
Membrane fluidity is influenced by…
All of the answer choices influence membrane stability.
How many fatty acyl groups (fatty acids) are present in triacylglycerols?
3

20:5 -delta- 5, 8, 11, 14, 17
Triacylglycerols can be significant components of lipid bilayers.
False
Which of the following are membrane lipids?
All of the above
The _________ model describes the cell membrane as an assortment of integral proteins suspended freely in a lipid bilayer.
fluid mosaic

Use the diagram below to answer the following question. The enzyme floppase would catalyze which of the following types of reactions?
Exchange for a lipid in position B for a lipid in position A.
How many acyl groups are attached to a sphingosine backbone in order to form a sphingomyelin?
1
How many fatty acyl groups (fatty acids) are present in glycerophospholipids?
2
What are the three main types of membrane associated proteins?
All of the above
Which of the following lipid types is the least polar?
triacylglycerols
Which of the following would be considered an omega-3 fatty acid?
eicosapentaenoic acid (20:5 delta 5,8,11,14,17)
Which of the following may undergo transverse diffusion within the membrane?
Membrane lipids
Match the description given with the correct lipid.
Term:
Primary storage form of lipids
Provides stability in the plasma membrane
Sphingosine backbone with several carbohydrates attached
Glycerol backbone with two fatty acyl groups
Definition:
Triacylglycerols
Cholesterol
Ganglioside
Glycerophospholipid
Primary storage form of lipids: Triacylglycerols
Provides stability in the plasma membrane: Cholesterol
Sphingosine backbone with several carbohydrates attached: Ganglioside
Glycerol backbone with two fatty acyl groups: Glycerophospholipid
Show which are characteristics of peripheral membrane proteins and which are characteristics of integral membrane proteins.
Term:
peripheral:
integral:
Definition:
have transmembrane domains that cross through the membrane
bind to the surface of membranes
peripheral: bind to the surface of membranes
integral: have transmembrane domains that cross through the membrane