1/13
Looks like no tags are added yet.
Name | Mastery | Learn | Test | Matching | Spaced | Call with Kai |
|---|
No analytics yet
Send a link to your students to track their progress

What Nucleotide
Adenosine 5’ monophosphate

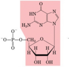
What Nucleotide
Guanosine 5’ monophosphate

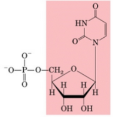
What Nucleotide
Uradine 5’ monophosphate

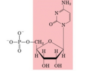
What Nucleotide
Cytidine 5’ monophosphate

What Nitrogenous base
Adenine

What Nitrogenous base
Guanine

What Nitrogenous base
Thymine

What Nitrogenous base
Cytosine

What Nitrogenous base
Uracil

Whats this
Adenosine Monophosphate ( AMP )

What nitrogenous bases type
Pyrimidine

What nitrogenous bases type
Purine

Ribose or Deoxyribose
Ribose

Ribose or Deoxyribose
Deoxyribose