1/5
mechanisms only - will make another deck for a) reagents and b) theory
Name | Mastery | Learn | Test | Matching | Spaced | Call with Kai |
|---|
No analytics yet
Send a link to your students to track their progress
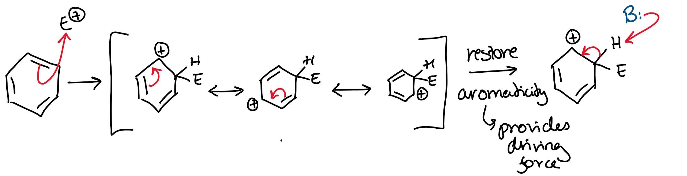
generic electrophilic substitution on an aromatic ring mechanism


nitration


sulfonation


Halogenation


