1/24
Name | Mastery | Learn | Test | Matching | Spaced | Call with Kai |
|---|
No analytics yet
Send a link to your students to track their progress
d/dx (C) =
0
d/dx (x) =
1
d/dx (cx) =
C
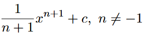
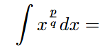
d/dx (xn) =
nxn-1
d/dx (cxn) =
ncxn-1
d/dx [ax] =
ax ln(a)
d/dx [ex] =
ex
d/dx [lnx] =
1/x, x > 0
d/dx [lnx] =
1/x, x ≠ 0
d/dx [Loga(x)] =
1 / xln(a), x > 0
∫ dx =
x + C
∫k dx =
kx + C
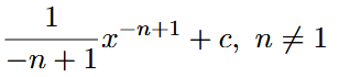
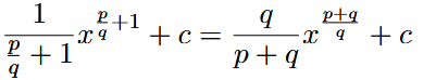
∫nx dx =

∫n-x dx =

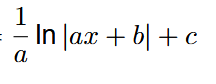
∫1/x dx =
ln|x| + C
∫x-1 dx
ln|x| + C




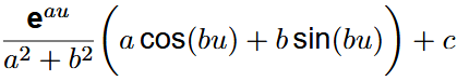
∫eu du =
eu + C
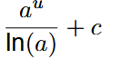
∫ au du =










