Extraction lab

0.0(0)
studied byStudied by 0 people
full-widthCall with Kai
GameKnowt Play
learnLearn
examPractice Test
spaced repetitionSpaced Repetition
heart puzzleMatch
flashcardsFlashcards
Card Sorting

1/18

encourage image

There's no tags or description

Looks like no tags are added yet.

Study Analytics
Name
Mastery
Learn
Test
Matching
Spaced

No study sessions yet.

19 Terms

1
New cards

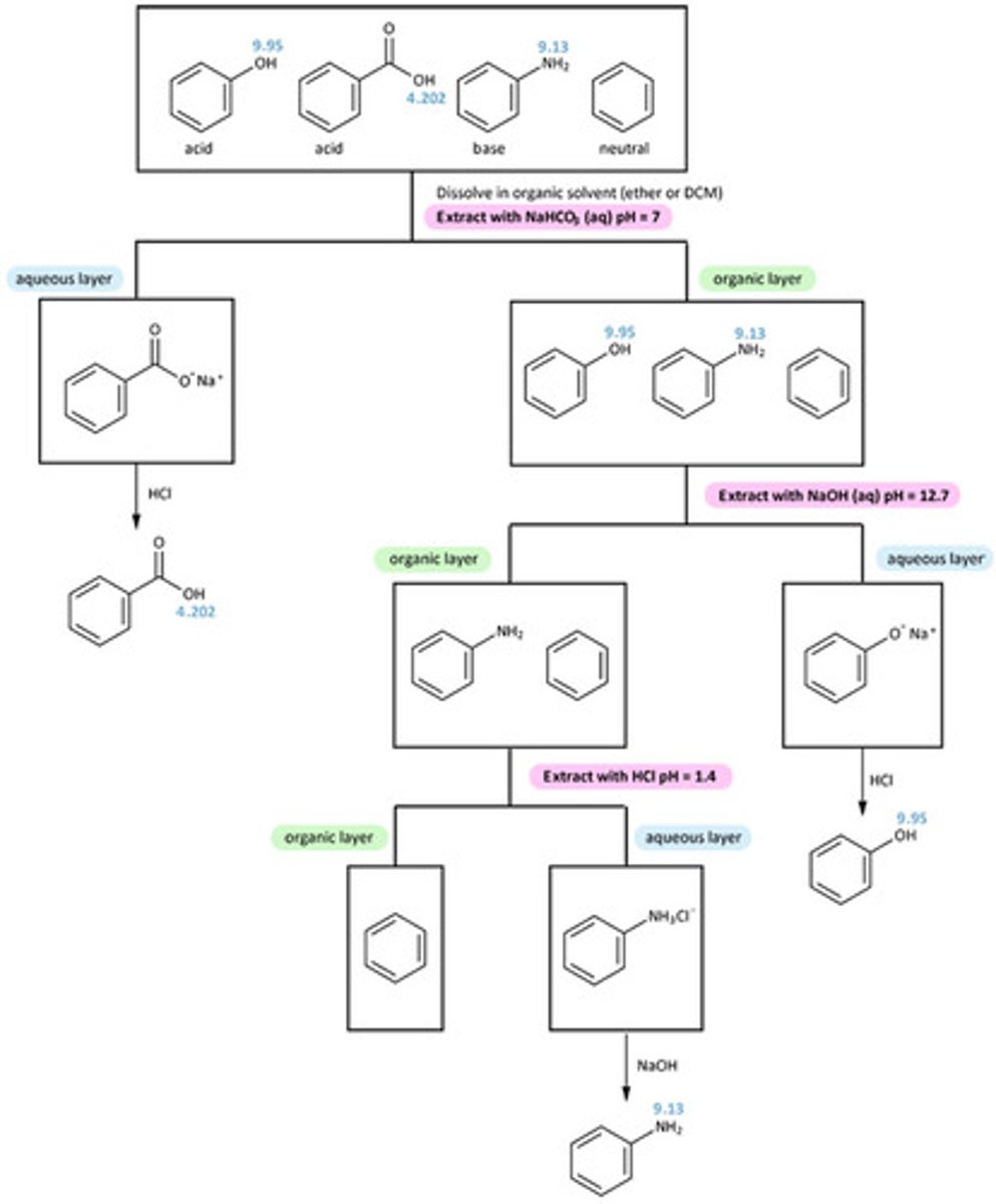
Solvent extraction

separates on the basis of solubility and solvent density

<p>separates on the basis of solubility and solvent density</p>
2
New cards

Acid-base extraction

Separates compounds based on acid-base properties.

<p>Separates compounds based on acid-base properties.</p>
3
New cards

neutral organic compounds

ketones, aldehydes, esters, anhydrides, and hydrocarbons

4
New cards

acidic organic compounds (strong to weak)

carboxylic acids, alcohols, and phenols

5
New cards

basic compounds

amines, some amides

6
New cards

strong bases

NaOH, KOH

7
New cards

strong acids

HCl

8
New cards

weak base

NH3, NaHCO3

9
New cards

acid

A substance that increases the hydrogen ion concentration of a solution.

10
New cards

base

A substance that decreases the hydrogen ion concentration in a solution.

11
New cards

neutral solvents

ether, DCM

12
New cards

ether

R-O-R

<p>R-O-R</p>
13
New cards

DCM

Dichloromethane (CH2Cl2)

<p>Dichloromethane (CH2Cl2)</p>
14
New cards

neutralization reaction

a reaction in which an acid and a base react in an aqueous solution to produce a salt and water

<p>a reaction in which an acid and a base react in an aqueous solution to produce a salt and water</p>
15
New cards

organic compounds denser than water

halogenated solvents

16
New cards

trichloromethane

Chloroform (CHCl3)

<p>Chloroform (CHCl3)</p>
17
New cards

carbon tetrachloride

CCl4

<p>CCl4</p>
18
New cards

organic compounds lighter than water

ether, hexane, pentane

<p>ether, hexane, pentane</p>
19
New cards

partition coefficient

The ratio of the solute concentrations in the organic and aqueous phase

<p>The ratio of the solute concentrations in the organic and aqueous phase</p>