1/9
Looks like no tags are added yet.
Name | Mastery | Learn | Test | Matching | Spaced |
|---|
No study sessions yet.
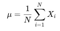
Population Mean
• μ: True mean of the population
• N: Total number of individuals in the population
• Xᵢ: Value of the i-th individual in the population
Use: Describes the average value of a characteristic (e.g., height, weight) across the entire population.

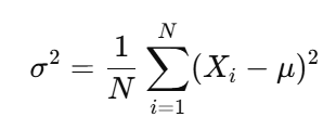
Population Variance
• σ²: Variance of the population
• Xᵢ: Individual value
• μ: Population mean
Use: Measures how spread out the values are in the population

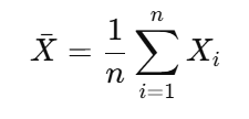
Sample Mean
• \(\bar{X}\): Mean of the sample
• n: Number of individuals in the sample
• Xᵢ: Value of the i-th individual in the sample
Use: Estimates the population mean using a subset of data.

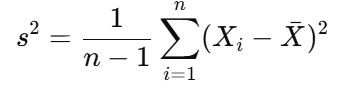
Sample Variance
• s²: Sample variance
• \(\bar{X}\): Sample mean
• Xᵢ: Individual sample value
Use: Measures variability within the sample. The denominator is \(n - 1\) to correct for bias (Bessel’s correction).

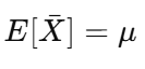
Mean of the Sampling Distribution
• E\(\bar{X}\)]: Expected value of the sample mean
• μ: Population mean
Use: The average of all possible sample means equals the population mean.
![<p>• E<code>\(\bar{X}\)</code>]: Expected value of the sample mean</p><p>• μ: Population mean</p><p>Use: The average of all possible sample means equals the population mean.</p>](https://knowt-user-attachments.s3.amazonaws.com/9db94128-f753-45ae-a9f8-c4a9444f6f58.png)
Variance of the Sampling Distribution
• Var\(\bar{X}\)): Variance of the sample mean
• σ²: Population variance
• n: Sample size
Use: Shows how much the sample mean varies from sample to sample.

Standard Error of the Mean (SEM)
• SEM: Standard deviation of the sample mean
• σ: Population standard deviation
• n: Sample size
Use: Quantifies how far the sample mean is likely to be from the population mean.

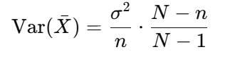
Adjusted Variance of Sample Mean for finite population
• N: Population size
• n: Sample size
• σ²: Population variance
Use: Adjusts the variance when sampling without replacement from a finite population.

Central Limit Theorem (CLT)
• \(\bar{X}\): Sample mean
• N(…): Normal distribution
• μ: Population mean
• σ²/n: Variance of sample mean
Use: For large \(n\), the distribution of sample means becomes approximately normal—even if the population isn’t.

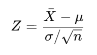
Standardized Z-score
• Z: Standardized score
• \(\bar{X}\): Sample mean
• μ: Population mean
• σ: Population standard deviation
• n: Sample size
Use: Converts a sample mean to a Z-score to find probabilities using the standard normal distribution.
