1/15
Name | Mastery | Learn | Test | Matching | Spaced | Call with Kai |
|---|
No analytics yet
Send a link to your students to track their progress

y=root x

y = root - x

y = - root - x

y = - root x

what kind of graph? what is h and k?
hyperbola. asymtotes at x=h and at y=k

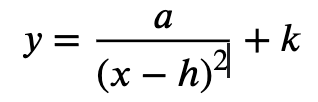
what kind of graph? what is h and k?
truncus. asymtotes at x=h and at y=k

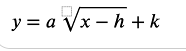
what kind of graph? what is h and k?
square root graph. starting point is a (h,k). if x has a coeffiecient that is not one fine starting point by puting x-h = 0

what kind of graph? what is h and k and r?
top half semi circle graph. centre at (h,k) radius is r

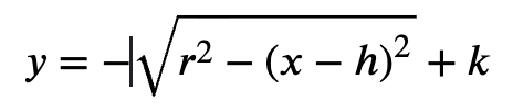
what kind of graph? what is h and k and r?
bottom half semi circle graph. centre at (h,k) radius is r

what kind of graph? what is h and k and r?
right half semi circle graph. centre at (h,k) radius is r

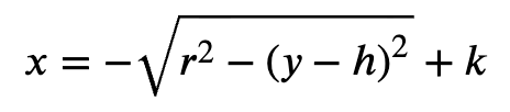
what kind of graph? what is h and k and r?
left half semi circle graph. centre at (h,k) radius is r

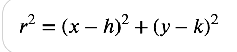
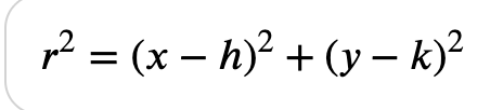
what kind of graph? what is h and k and r?
circle graph. centre at (h,k) radius is r
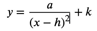
Truncus general form
asymtotes at x=h and at y=k

Hyperbola general form
asymtotes at x=h and at y=k

circle graph general form

top semi circle general form